Online Database of Chemicals from Around the World

Wistariasaponin G
[CAS 136027-06-0]

Suppliers
CAS#: 136027-06-0
Product: Wistariasaponin G
No suppilers available for the product.
Identification
Name Wistariasaponin G
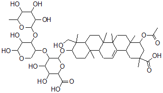
Synonyms 6-[[9-Acetoxy-11-Carboxy-4-(Hydroxymethyl)-4,6A,6B,8A,11,14B-Hexamethyl-1,2,3,4A,5,6,7,8,9,10,12,12A,14,14A-Tetradecahydropicen-3-Yl]Oxy]-5-[5,6-Dihydroxy-4-(3,4,5-Trihydroxy-6-Methyl-Tetrahydropyran-2-Yl)Oxy-Tetrahydropyran-3-Yl]Oxy-3,4-Dihydroxy-Tetrahydropyran-2-Carboxylic Acid; 6-[[9-Acetoxy-11-Carboxy-4-(Hydroxymethyl)-4,6A,6B,8A,11,14B-Hexamethyl-1,2,3,4A,5,6,7,8,9,10,12,12A,14,14A-Tetradecahydropicen-3-Yl]Oxy]-5-[[5,6-Dihydroxy-4-[(3,4,5-Trihydroxy-6-Methyl-2-Tetrahydropyranyl)Oxy]-3-Tetrahydropyranyl]Oxy]-3,4-Dihydroxy-2-Tetrahydropyrancarboxylic Acid; 6-[(9-Acetoxy-11-Carboxy-4,6A,6B,8A,11,14B-Hexamethyl-4-Methylol-1,2,3,4A,5,6,7,8,9,10,12,12A,14,14A-Tetradecahydropicen-3-Yl)Oxy]-5-[5,6-Dihydroxy-4-(3,4,5-Trihydroxy-6-Methyl-Tetrahydropyran-2-Yl)Oxy-Tetrahydropyran-3-Yl]Oxy-3,4-Dihydroxy-Tetrahydropyran-2-Carboxylic Acid
Molecular Structure CAS#: 136027-06-0, Wistariasaponin G
Molecular Formula C49H76O20
Molecular Weight 985.13
CAS Registry Number 136027-06-0
SMILES C(O)C5(C4C(C1C(C2(C(=CC1)C3C(CC2)(C(OC(=O)C)CC(C3)(C(=O)O)C)C)C)(CC4)C)(CCC5OC6OC(C(O)C(O)C6OC8C(OC7OC(C(O)C(O)C7O)C)C(O)C(OC8)O)C(=O)O)C)C
InChI 1S/C49H76O20/c1-21-30(52)31(53)34(56)41(64-21)68-36-25(19-63-40(60)35(36)57)66-38-33(55)32(54)37(39(58)59)69-42(38)67-28-12-13-46(5)26(47(28,6)20-50)11-14-49(8)27(46)10-9-23-24-17-44(3,43(61)62)18-29(65-22(2)51)45(24,4)15-16-48(23,49)7/h9,21,24-38,40-42,50,52-57,60H,10-20H2,1-8H3,(H,58,59)(H,61,62)
InChIKey QVQBULODVHHPCZ-UHFFFAOYSA-N
Properties
Density 1.441g/cm3 (Cal.)
Boiling point 1040.027°C at 760 mmHg (Cal.)
Flash point 293.912°C (Cal.)
Market Analysis Reports
Related Products
Wilfornine A  Wilforol A;(9be...  Wilforol C;(+)-...  Wilfortrine;Wil...  Willow Bark Ext...  Willstatter lig...  Wilsonine  WIN 54461  Windaus Ketone  Wistariasaponin...  Wisteria sinens...  Witcamide (R) 5...  Witch Hazel  WITEPSOL  Withaferine A;W...  Withangulatin A...  Withania somnif...  Withanolide A;W...  Withanolide B;L...  Withanolides;6-...