Online Database of Chemicals from Around the World

2-[2-[(5S,6S,7R,9R,18S,19R)-19-Amino-6-(3-Carboxy-5-Hydroxy-5-Oxopentanoyl)Oxy-18-Hydroxy-5,9-Dimethylicosan-7-Yl]Oxy-2-Oxoethyl]Butanedioic Acid
[CAS 136379-60-7]

Suppliers
CAS#: 136379-60-7
Product: 2-[2-[(5S,6S,7R,9R,18S,19R)-19-Amino-6-(3-Carboxy-5-Hydroxy-5-Oxopentanoyl)Oxy-18-Hydroxy-5,9-Dimethylicosan-7-Yl]Oxy-2-Oxoethyl]Butanedioic Acid
No suppilers available for the product.
Identification
Name 2-[2-[(5S,6S,7R,9R,18S,19R)-19-Amino-6-(3-Carboxy-5-Hydroxy-5-Oxopentanoyl)Oxy-18-Hydroxy-5,9-Dimethylicosan-7-Yl]Oxy-2-Oxoethyl]Butanedioic Acid
Synonyms 2-[2-[(1R,3R,12S,13R)-13-Amino-1-[(1S,2S)-1-(3-Carboxy-5-Hydroxy-5-Oxo-Pentanoyl)Oxy-2-Methyl-Hexyl]-12-Hydroxy-3-Methyl-Tetradecoxy]-2-Oxo-Ethyl]Butanedioic Acid; 2-[2-[(1R,3R,12S,13R)-13-Amino-1-[(1S,2S)-1-(3-Carboxy-5-Hydroxy-1,5-Dioxopentoxy)-2-Methylhexyl]-12-Hydroxy-3-Methyltetradecoxy]-2-Oxoethyl]Butanedioic Acid; 2-[2-[(1R,3R,12S,13R)-13-Amino-1-[(1S,2S)-1-(3-Carboxy-5-Hydroxy-5-Keto-Pentanoyl)Oxy-2-Methyl-Hexyl]-12-Hydroxy-3-Methyl-Tetradecoxy]-2-Keto-Ethyl]Succinic Acid
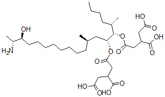
Molecular Structure CAS#: 136379-60-7, 2-[2-[(5S,6S,7R,9R,18S,19R)-19-Amino-6-(3-Carboxy-5-Hydroxy-5-Oxopentanoyl)Oxy-18-Hydroxy-5,9-Dimethylicosan-7-Yl]Oxy-2-Oxoethyl]Butanedioic Acid
Molecular Formula C34H59NO13
Molecular Weight 689.84
CAS Registry Number 136379-60-7
SMILES [C@@H](OC(=O)CC(C(=O)O)CC(=O)O)([C@H](OC(=O)CC(C(=O)O)CC(=O)O)C[C@@H](CCCCCCCC[C@H](O)[C@H](N)C)C)[C@H](CCCC)C
InChI 1S/C34H59NO13/c1-5-6-14-22(3)32(48-31(42)20-25(34(45)46)18-29(39)40)27(47-30(41)19-24(33(43)44)17-28(37)38)16-21(2)13-11-9-7-8-10-12-15-26(36)23(4)35/h21-27,32,36H,5-20,35H2,1-4H3,(H,37,38)(H,39,40)(H,43,44)(H,45,46)/t21-,22+,23-,24?,25?,26+,27-,32+/m1/s1
InChIKey WYYKRDVIBOEORL-YCPRMCKCSA-N
Properties
Density 1.191g/cm3 (Cal.)
Boiling point 821.06°C at 760 mmHg (Cal.)
Flash point 450.361°C (Cal.)
Market Analysis Reports
Related Products
S-[(2R)-2-Amino...  7-[5-(2-Amino-2...  4-Amino-5-Carbo...  (R)-2-Amino-2-C...  [4-(2-Amino-2-C...  (5S,6R,7E,9E,11...  2-amino-3-(2-ca...  2-{[(2R)-2-Amin...  [6R-(6alpha,7al...  4-(2-Amino-2-Ca...  N6-[(2S,5S)-5-A...  N6-[(2R,5S)-5-A...  5-Amino-2-((3-c...  2-[[2-Amino-6-[...  7-Amino-1-Carbo...  3-Amino-5-carbo...  (r,s)-2-Amino-3...  3-Amino-N-(carb...  3-Amino-4-[(Car...  (2S)-2-Amino-5-...