Online Database of Chemicals from Around the World

2-Methyl-N-[2-(1-Piperazinyl)Ethyl]-2-Propen-1-Amine
[CAS 137554-23-5]

Suppliers
Atomax Chemicals Co., Ltd. China
+86 13417589054/
info@atomaxchem.com,atomax.chemicals@gmail.com
QQ Chat
Chemical manufacturer
Identification
Name 2-Methyl-N-[2-(1-Piperazinyl)Ethyl]-2-Propen-1-Amine
Synonyms 1-Piperazineethanamine, N-(2-methyl-2-propen-1-yl)-; 2-methyl-N-(2-(piperazin-1-yl)ethyl)prop-2-en-1-amine; 2-Methyl-N-[2-(1-piperazinyl)ethyl]-2-propen-1-amin
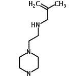
Molecular Structure CAS#: 137554-23-5, 2-Methyl-N-[2-(1-Piperazinyl)Ethyl]-2-Propen-1-Amine
Molecular Formula C10H21N3
Molecular Weight 183.29
CAS Registry Number 137554-23-5
SMILES CC(=C)CNCCN1CCNCC1
InChI 1S/C10H21N3/c1-10(2)9-12-5-8-13-6-3-11-4-7-13/h11-12H,1,3-9H2,2H3
InChIKey BAOYKPCVNRYPQC-UHFFFAOYSA-N
Properties
Density 0.9±0.1g/cm3 (Cal.)
Boiling point 279.8±25.0°C at 760 mmHg (Cal.)
Flash point 127.7±17.8°C (Cal.)
Refractive index 1.473 (Cal.)
Market Analysis Reports
Related Products
1-(4-Methyl-1-P...  1-[(3S)-3-Methy...  4-[2-(4-Methyl-...  2-[2-(4-Methyl-...  4-[2-(4-Methyl-...  3-[[[2-(4-Methy...  4-Methyl-N-[2-(...  2-[1-(4-Methyl-...  Methyl 2-(1-Pip...  1-[2-(4-Methyl-...  1-[2-(4-Methyl-...  5-(4-Methyl-1-P...  4-(5-(5-(4-Meth...  alpha-[(4-Methy...  5-(4-methylpipe...  2-(4-Methyl-1-p...  2-(4-Methyl-1-p...  1-(1-Methyl-2-P...  1-(5-Methyl-2-P...  (4-Methylpipera...