Online Database of Chemicals from Around the World

Viridofulvin
[CAS 1405-00-1]

Suppliers
BOC Sciences USA
+1 (631) 485-4226
info@bocsci.com
Skype Chat
Chemical distributor
chemBlink massive supplier since 2012
Identification
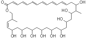
Name Viridofulvin
Synonyms Viridofulvin [Usan:Inn]
Molecular Structure CAS#: 1405-00-1, Viridofulvin
Molecular Formula C37H58O11
Molecular Weight 678.86
CAS Registry Number 1405-00-1
SMILES CC1C(O)CC(O)CC(O)CC(O)CC(O)CC(O)CC(O)CC(O)\C=C/C(COC(=O)/C=C/C=C/C=C/C=C/C=C/C=C/CC1O)C
InChI 1S/C37H58O11/c1-26-16-17-28(38)18-29(39)19-30(40)20-31(41)21-32(42)22-33(43)23-34(44)24-36(46)27(2)35(45)14-12-10-8-6-4-3-5-7-9-11-13-15-37(47)48-25-26/h3-13,15-17,26-36,38-46H,14,18-25H2,1-2H3/b4-3+,7-5+,8-6+,11-9+,12-10+,15-13+,17-16-
InChIKey BWKABGFZYLDQRM-UYENRZAWSA-N
Properties
Density 1.1±0.1g/cm3 (Cal.)
Boiling point 947.8±65.0°C at 760 mmHg (Cal.)
Flash point 287.6±27.8°C (Cal.)
Market Analysis Reports
Related Products
Viranamycin B;[...  Virginiamycin;M...  Virginiamycin S...  Virginiamycin B...  Virginiamycin B...  Viridenomycin;(...  Viridicatic aci...  Viridicatol;3-H...  Viridifloric Ac...  Viridiol;(1beta...  Viridopentaose ...  Viriplanin A;Vi...  Virkon;Monopero...  (+)-Viroallosec...  Viroidin;12-(2,...  Virosine B;(5R,...  Virus, animal, ...  Virustomycin A;...  Visano Cor;2-Be...  Visar-Fil