Online Database of Chemicals from Around the World

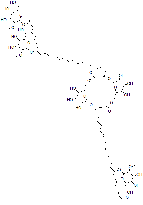
3-(16,22-Bis(2-O-Methyl-beta-D-Glucopyranosyl)Oxy)Tricosyl)-9,10,11,20,21,22-Hexahydroxy-14-(14-(14-((2-O-Methyl-beta-D-Glucopyranosyl)Oxy)-20-Oxoheneicosyl)-2,6,13,17,23,24-Hexaoxatricyclo(17.3.1.1(8,12))Tetracosane-5,16-Dione
[CAS 142382-46-5]

Suppliers
CAS#: 142382-46-5
Product: 3-(16,22-Bis(2-O-Methyl-beta-D-Glucopyranosyl)Oxy)Tricosyl)-9,10,11,20,21,22-Hexahydroxy-14-(14-(14-((2-O-Methyl-beta-D-Glucopyranosyl)Oxy)-20-Oxoheneicosyl)-2,6,13,17,23,24-Hexaoxatricyclo(17.3.1.1(8,12))Tetracosane-5,16-Dione
No suppilers available for the product.
Identification
Name 3-(16,22-Bis(2-O-Methyl-beta-D-Glucopyranosyl)Oxy)Tricosyl)-9,10,11,20,21,22-Hexahydroxy-14-(14-(14-((2-O-Methyl-beta-D-Glucopyranosyl)Oxy)-20-Oxoheneicosyl)-2,6,13,17,23,24-Hexaoxatricyclo(17.3.1.1(8,12))Tetracosane-5,16-Dione
Synonyms Cycloviracin B2; Cycloviracin-B2
Molecular Structure CAS#: 142382-46-5, 3-(16,22-Bis(2-O-Methyl-beta-D-Glucopyranosyl)Oxy)Tricosyl)-9,10,11,20,21,22-Hexahydroxy-14-(14-(14-((2-O-Methyl-beta-D-Glucopyranosyl)Oxy)-20-Oxoheneicosyl)-2,6,13,17,23,24-Hexaoxatricyclo(17.3.1.1(8,12))Tetracosane-5,16-Dione
Molecular Formula C83H150O33
Molecular Weight 1676.08
CAS Registry Number 142382-46-5
SMILES C(C1OC(C(C(C1O)O)OC)OC(CCCCCC(OC2C(C(C(O)C(O2)CO)O)OC)C)CCCCCCCCCCCCCCCC5OC3OC(C(O)C(C3O)O)COC(CC(CCCCCCCCCCCCCC(OC4C(C(C(O)C(O4)CO)O)OC)CCCCCC(C)=O)OC6OC(COC(C5)=O)C(C(O)C6O)O)=O)O
InChI 1S/C83H150O33/c1-51(87)36-28-26-34-40-53(108-82-77(103-4)72(98)65(91)58(47-85)113-82)38-30-22-19-15-12-9-13-17-21-25-33-43-56-45-63(89)106-50-60-67(93)69(95)74(100)79(115-60)110-55(44-62(88)105-49-61-68(94)70(96)75(101)80(111-56)116-61)42-32-24-20-16-11-8-6-7-10-14-18-23-31-39-54(109-83-78(104-5)73(99)66(92)59(48-86)114-83)41-35-27-29-37-52(2)107-81-76(102-3)71(97)64(90)57(46-84)112-81/h52-61,64-86,90-101H,6-50H2,1-5H3
InChIKey XRRQVPARIZEWDY-UHFFFAOYSA-N
Market Analysis Reports
Related Products
Bis(1-Methyleth...  3',5'-O-[Bis(1,...  N2,N2-Bis(1-Met...  2,4-Bis(1-Methy...  3,3-Bis(1-Methy...  3,5-Bis(1-Methy...  N,N-Bis[(1...  N,N-Bis[(2...  Bis(2-methyl-3-...  Bis(2-methyl-3-...  2,6-Bis(1-Methy...  Bis(16-Methylhe...  N,N-Bis(1-methy...  N1,N4-Bis(1-Met...  Bis(6-Methylhep...  N,N'-Bis(1-Meth...  Bis(6-Methylhep...  Bis(1-Methylhep...  Bis(6-methylhep...  Bis(5-methylhex...