Online Database of Chemicals from Around the World

(E)-4-[2-Hydroxy-2-[3-Hydroxy-4-[(4E,6E,12E,14E)-10-Hydroxy-3,15-Dimethoxy-7,9,11,13-Tetramethyl-16-Oxo-1-Oxacyclohexadeca-4,6,12,14-Tetraen-2-Yl]Pentan-2-Yl]-5,6-Dimethyloxan-4-Yl]Oxy-4-Oxobut-2-Enoic Acid
[CAS 142386-67-2]

Suppliers
CAS#: 142386-67-2
Product: (E)-4-[2-Hydroxy-2-[3-Hydroxy-4-[(4E,6E,12E,14E)-10-Hydroxy-3,15-Dimethoxy-7,9,11,13-Tetramethyl-16-Oxo-1-Oxacyclohexadeca-4,6,12,14-Tetraen-2-Yl]Pentan-2-Yl]-5,6-Dimethyloxan-4-Yl]Oxy-4-Oxobut-2-Enoic Acid
No suppilers available for the product.
Identification
Name (E)-4-[2-Hydroxy-2-[3-Hydroxy-4-[(4E,6E,12E,14E)-10-Hydroxy-3,15-Dimethoxy-7,9,11,13-Tetramethyl-16-Oxo-1-Oxacyclohexadeca-4,6,12,14-Tetraen-2-Yl]Pentan-2-Yl]-5,6-Dimethyloxan-4-Yl]Oxy-4-Oxobut-2-Enoic Acid
Synonyms (E)-4-[2-Hydroxy-2-[3-Hydroxy-4-[(4Z,6E,12E,14E)-10-Hydroxy-3,15-Dimethoxy-7,9,11,13-Tetramethyl-16-Oxo-1-Oxacyclohexadeca-4,6,12,14-Tetraen-2-Yl]Pentan-2-Yl]-5,6-Dimethyloxan-4-Yl]Oxy-4-Oxobut-2-Enoic Acid; (E)-4-[2-Hydroxy-2-[2-Hydroxy-3-[(4E,6E,12E,14E)-10-Hydroxy-3,15-Dimethoxy-7,9,11,13-Tetramethyl-16-Oxo-1-Oxacyclohexadeca-4,6,12,14-Tetraen-2-Yl]-1-Methyl-Butyl]-5,6-Dimethyl-Tetrahydropyran-4-Yl]Oxy-4-Oxo-But-2-Enoic Acid; (E)-4-[2-Hydroxy-2-[2-Hydroxy-3-[(4Z,6E,12E,14E)-10-Hydroxy-3,15-Dimethoxy-7,9,11,13-Tetramethyl-16-Oxo-1-Oxacyclohexadeca-4,6,12,14-Tetraen-2-Yl]-1-Methyl-Butyl]-5,6-Dimethyl-Tetrahydropyran-4-Yl]Oxy-4-Oxo-But-2-Enoic Acid
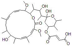
Molecular Structure CAS#: 142386-67-2, (E)-4-[2-Hydroxy-2-[3-Hydroxy-4-[(4E,6E,12E,14E)-10-Hydroxy-3,15-Dimethoxy-7,9,11,13-Tetramethyl-16-Oxo-1-Oxacyclohexadeca-4,6,12,14-Tetraen-2-Yl]Pentan-2-Yl]-5,6-Dimethyloxan-4-Yl]Oxy-4-Oxobut-2-Enoic Acid
Molecular Formula C37H56O12
Molecular Weight 692.84
CAS Registry Number 142386-67-2
SMILES CC(C1(OC(C(C(OC(=O)\C=C\C(O)=O)C1)C)C)O)C(O)C(C2OC(=O)C(=C\C(=C\C(C(O)C(CC(=C/C=C/C2OC)/C)C)C)C)/OC)C
InChI 1S/C37H56O12/c1-20-12-11-13-28(45-9)35(48-36(43)29(46-10)18-21(2)17-23(4)33(41)22(3)16-20)25(6)34(42)26(7)37(44)19-30(24(5)27(8)49-37)47-32(40)15-14-31(38)39/h11-15,17-18,22-28,30,33-35,41-42,44H,16,19H2,1-10H3,(H,38,39)/b13-11+,15-14+,20-12+,21-17+,29-18+
InChIKey CDQPAZYLCCBGFZ-VBJPFCBCSA-N
Market Analysis Reports
Related Products
7-[2-Hydroxy-3-...  1-[2-Hydroxy-3-...  (4R)-4-Hydroxy-...  (2S,6R)-6-Hydro...  9-[2-Hydroxy-3-...  (1R,2R)-2-Hydro...  16-Hydroxy-19-(...  16-Hydroxy-19-(...  N-Hydroxy-N-(7-...  (2R,3R,4R)-4-Hy...  (4Z,6Z,8E)-3-Hy...  9-[5-O-[Hydroxy...  5'-O-[Hydroxy[[...  9-[5-O-[Hydroxy...  [4-Hydroxy-5-[[...  (2S,3R,4S)-3-Hy...  [5-Hydroxy-2-[6...  2-Hydroxy-10-[5...  (6E)-8-(9-Hydro...  10-Hydroxy-8-[(...