Online Database of Chemicals from Around the World

[(2R,3S,4R,5R)-3-Acetyloxy-5-[(2S,3S,4R,5R)-3-Acetyloxy-4,5-Dihydroxyoxan-2-Yl]Oxy-2-[(2E,6E)-3,7,11-Trimethyldodeca-2,6,10-Trienoxy]Oxan-4-Yl] Acetate
[CAS 143838-79-3]

Suppliers
CAS#: 143838-79-3
Product: [(2R,3S,4R,5R)-3-Acetyloxy-5-[(2S,3S,4R,5R)-3-Acetyloxy-4,5-Dihydroxyoxan-2-Yl]Oxy-2-[(2E,6E)-3,7,11-Trimethyldodeca-2,6,10-Trienoxy]Oxan-4-Yl] Acetate
No suppilers available for the product.
Identification
Name [(2R,3S,4R,5R)-3-Acetyloxy-5-[(2S,3S,4R,5R)-3-Acetyloxy-4,5-Dihydroxyoxan-2-Yl]Oxy-2-[(2E,6E)-3,7,11-Trimethyldodeca-2,6,10-Trienoxy]Oxan-4-Yl] Acetate
Synonyms [(2R,3S,4R,5R)-3-Acetoxy-5-[(2S,3S,4R,5R)-3-Acetoxy-4,5-Dihydroxy-Tetrahydropyran-2-Yl]Oxy-2-[(2E,6E)-3,7,11-Trimethyldodeca-2,6,10-Trienoxy]Tetrahydropyran-4-Yl] Acetate; Acetic Acid [(2R,3S,4R,5R)-3-Acetoxy-5-[[(2S,3S,4R,5R)-3-Acetoxy-4,5-Dihydroxy-2-Tetrahydropyranyl]Oxy]-2-[(2E,6E)-3,7,11-Trimethyldodeca-2,6,10-Trienoxy]-4-Tetrahydropyranyl] Ester; Acetic Acid [(2R,3S,4R,5R)-3-Acetoxy-5-[(2S,3S,4R,5R)-3-Acetoxy-4,5-Dihydroxy-Tetrahydropyran-2-Yl]Oxy-2-[(2E,6E)-3,7,11-Trimethyldodeca-2,6,10-Trienoxy]Tetrahydropyran-4-Yl] Ester
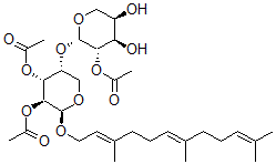
Molecular Structure CAS#: 143838-79-3, [(2R,3S,4R,5R)-3-Acetyloxy-5-[(2S,3S,4R,5R)-3-Acetyloxy-4,5-Dihydroxyoxan-2-Yl]Oxy-2-[(2E,6E)-3,7,11-Trimethyldodeca-2,6,10-Trienoxy]Oxan-4-Yl] Acetate
Molecular Formula C31H48O12
Molecular Weight 612.71
CAS Registry Number 143838-79-3
SMILES [C@@H]2(OC(=O)C)[C@H](O[C@@H]1OC[C@@H](O)[C@@H](O)[C@@H]1OC(=O)C)CO[C@@H](OC\C=C(\CC\C=C(\CCC=C(C)C)C)C)[C@H]2OC(=O)C
InChI 1S/C31H48O12/c1-18(2)10-8-11-19(3)12-9-13-20(4)14-15-37-30-29(42-23(7)34)27(40-21(5)32)25(17-39-30)43-31-28(41-22(6)33)26(36)24(35)16-38-31/h10,12,14,24-31,35-36H,8-9,11,13,15-17H2,1-7H3/b19-12+,20-14+/t24-,25-,26-,27-,28+,29+,30-,31+/m1/s1
InChIKey JDZUTRNFTHMPMQ-VOPDUKPCSA-N
Properties
Density 1.204g/cm3 (Cal.)
Boiling point 686.294°C at 760 mmHg (Cal.)
Flash point 208.55°C (Cal.)
Market Analysis Reports
Related Products
[2-[[3-[(2-Acet...  N-Acetyloxy-2-a...  2-(N-Acetyloxy-...  5-[[2-(Acetylox...  [17-(2-Acetylox...  N-[2-(Acetyloxy...  [(3S,8R,9S,10R,...  2-(Acetyloxy)-N...  [(2R,3S,4R,5R)-...  2-[(17S,18S,19S...  5-(Acetyloxy)-4...  [(2R,3R,4R,5R)-...  4-(Acetyloxy)-3...  [5-Acetyloxy-2-...  [4-Acetyloxy-2-...  (4S)-9-(Acetylo...  (3aR,4S,5R,6aS)...  (4S,6R,7S,10R,1...  [(3S,4S,5S)-4-A...  [(3R,4S,5R)-4-A...