Online Database of Chemicals from Around the World

3-[[(13E,15Z,21E,23E)-1,3,7,9,11,25,27,29,35,36-Decahydroxy-4,8,12,20,24,26-Hexamethyl-19-[(E)-10-[(N'-Methylcarbamimidoyl)Amino]Dec-6-En-2-Yl]-17-Oxo-18,37-Dioxabicyclo[31.3.1]Heptatriaconta-13,15,21,23-Tetraen-31-Yl]Oxy]-3-Oxopropanoic Acid
[CAS 143906-47-2]

Suppliers
CAS#: 143906-47-2
Product: 3-[[(13E,15Z,21E,23E)-1,3,7,9,11,25,27,29,35,36-Decahydroxy-4,8,12,20,24,26-Hexamethyl-19-[(E)-10-[(N'-Methylcarbamimidoyl)Amino]Dec-6-En-2-Yl]-17-Oxo-18,37-Dioxabicyclo[31.3.1]Heptatriaconta-13,15,21,23-Tetraen-31-Yl]Oxy]-3-Oxopropanoic Acid
No suppilers available for the product.
Identification
Name 3-[[(13E,15Z,21E,23E)-1,3,7,9,11,25,27,29,35,36-Decahydroxy-4,8,12,20,24,26-Hexamethyl-19-[(E)-10-[(N'-Methylcarbamimidoyl)Amino]Dec-6-En-2-Yl]-17-Oxo-18,37-Dioxabicyclo[31.3.1]Heptatriaconta-13,15,21,23-Tetraen-31-Yl]Oxy]-3-Oxopropanoic Acid
Synonyms 3-[[(13E,15Z,21E,23E)-1,3,7,9,11,25,27,29,35,36-Decahydroxy-4,8,12,20,24,26-Hexamethyl-19-[(E)-1-Methyl-9-[(N'-Methylcarbamimidoyl)Amino]Non-5-Enyl]-17-Oxo-18,37-Dioxabicyclo[31.3.1]Heptatriaconta-13,15,21,23-Tetraen-31-Yl]Oxy]-3-Oxo-Propanoic Acid; 3-[[(13E,15Z,21E,23E)-19-[(E)-9-[(Amino-Methyliminomethyl)Amino]-1-Methylnon-5-Enyl]-1,3,7,9,11,25,27,29,35,36-Decahydroxy-4,8,12,20,24,26-Hexamethyl-17-Oxo-18,37-Dioxabicyclo[31.3.1]Heptatriaconta-13,15,21,23-Tetraen-31-Yl]Oxy]-3-Oxopropanoic Acid; 3-[[(13E,15Z,21E,23E)-1,3,7,9,11,25,27,29,35,36-Decahydroxy-17-Keto-4,8,12,20,24,26-Hexamethyl-19-[(E)-1-Methyl-9-[(N'-Methylcarbamimidoyl)Amino]Non-5-Enyl]-18,37-Dioxabicyclo[31.3.1]Heptatriaconta-13,15,21,23-Tetraen-31-Yl]Oxy]-3-Keto-Propionic Acid
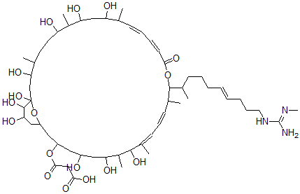
Molecular Structure CAS#: 143906-47-2, 3-[[(13E,15Z,21E,23E)-1,3,7,9,11,25,27,29,35,36-Decahydroxy-4,8,12,20,24,26-Hexamethyl-19-[(E)-10-[(N'-Methylcarbamimidoyl)Amino]Dec-6-En-2-Yl]-17-Oxo-18,37-Dioxabicyclo[31.3.1]Heptatriaconta-13,15,21,23-Tetraen-31-Yl]Oxy]-3-Oxopropanoic Acid
Molecular Formula C56H95N3O17
Molecular Weight 1082.38
CAS Registry Number 143906-47-2
SMILES C(C(OC2CC1OC(O)(C(O)C(O)C1)CC(O)C(CCC(O)C(C(O)CC(O)C(C)\C=C\C=C/C(OC(C(CCC\C=C\CCCNC(N)=NC)C)C(\C=C\C=C(C(O)C(C(O)CC(O)C2)C)/C)C)=O)C)C)=O)C(O)=O
InChI 1S/C56H95N3O17/c1-33-18-14-15-22-50(69)75-53(36(4)19-13-11-9-10-12-16-25-59-55(57)58-8)37(5)21-17-20-35(3)52(71)39(7)45(63)27-40(60)26-41(74-51(70)31-49(67)68)28-42-29-47(65)54(72)56(73,76-42)32-48(66)34(2)23-24-43(61)38(6)46(64)30-44(33)62/h9-10,14-15,17-18,20-22,33-34,36-48,52-54,60-66,71-73H,11-13,16,19,23-32H2,1-8H3,(H,67,68)(H3,57,58,59)/b10-9+,18-14+,21-17+,22-15-,35-20+
InChIKey LTUWJYTYKHHVPU-RNIVMLCHSA-N
Market Analysis Reports
Related Products
Decahydro-6,9,9...  Decahydro-2,4a,...  (1aR,4aS,7R,7aR...  (1aR-(1aalpha,4...  (1aS,4aS,7aR,7b...  (4aS,8aalpha)-D...  (1R*,2S*,5E,8aS...  Decahydro-2,5,5...  Decahydro-5,5,8...  (1aR,2'S,4aR,7R...  gamma-Decalacto...  Decalin-2-Amine...  cis-9,10-Decali...  Decalin-1,4-Dio...  trans-1,5-Decal...  (Decalin-1-Ylid...  Decalin-2-Yl Is...  1-(Decalin-1-Yl...  N-Decalin-1-Yl-...  trans-1-Decalon...