Online Database of Chemicals from Around the World

Pyropheophytin A
[CAS 14409-87-1]

Suppliers
CAS#: 14409-87-1
Product: Pyropheophytin A
No suppilers available for the product.
Identification
Name Pyropheophytin A
Synonyms 3-Phorbinepropanoic Acid, 9-Ethenyl-14-Ethyl-4,8,13,18-Tetramethyl-20-Oxo-, 3,7,11,15-Tetramethyl-2-Hexadecenyl Ester, (3S-(3Alpha(2E,7S*,11S*),4Beta))-
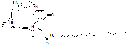
Molecular Structure CAS#: 14409-87-1, Pyropheophytin A
Molecular Formula C53H72N4O3
Molecular Weight 813.18
CAS Registry Number 14409-87-1
SMILES [C@@H]2([C@@H](C3=CC1=C(C(=C([NH]1)C=C6[NH]C(=CC5=NC4=C(C2=N3)CC(=O)C4=C5C)C(=C6C)CC)C=C)C)C)CCC(OC/C=C(/CCCC(CCCC(CCCC(C)C)C)C)C)=O
InChI 1S/C53H72N4O3/c1-12-39-35(8)43-28-45-37(10)41(23-24-50(59)60-26-25-34(7)22-16-21-33(6)20-15-19-32(5)18-14-17-31(3)4)52(56-45)42-27-49(58)51-38(11)46(57-53(42)51)30-48-40(13-2)36(9)44(55-48)29-47(39)54-43/h12,25,28-33,37,41,54-55H,1,13-24,26-27H2,2-11H3/b34-25+,43-28?,44-29?,45-28?,46-30?,47-29?,48-30?,52-42?/t32?,33?,37-,41-/m0/s1
InChIKey QHXDJDSLHFMJCS-KJMNNOFDSA-N
Market Analysis Reports
Related Products
Pyromeconic aci...  Pyromeconic Aci...  Pyromellitic ac...  5,10,15,20-Pyro...  Pyronaridine;Ma...  Pyronin B;C.I. ...  Pyronin Y;3,6-B...  Pyrophendane;1-...  Pyropheophorbid...  Pyropheophorbid...  Pyrophosphate-b...  Pyrophosphohist...  Pyrophosphoric ...  Pyrophosphoric ...  Pyrophyllite  Pyroporphyrin d...  Pyroquilone;4-O...  Pyrosulfuric Ac...  Pyrosulfurous A...  Pyrosulfuryl ch...