Online Database of Chemicals from Around the World

[2-(6-Aminohexanoyloxymethyl)-6-[2,3-Dihydroxy-5-(3-Hydroxytetradecanoylamino)-4-(3-Hydroxytetradecanoyloxy)-6-Oxohexoxy]-5-(14-Dodecanoyloxytetradecanoylamino)-3-Phosphonooxyoxan-4-Yl] 14-Tetradecanoyloxytetradecanoate
[CAS 144710-90-7]

Suppliers
CAS#: 144710-90-7
Product: [2-(6-Aminohexanoyloxymethyl)-6-[2,3-Dihydroxy-5-(3-Hydroxytetradecanoylamino)-4-(3-Hydroxytetradecanoyloxy)-6-Oxohexoxy]-5-(14-Dodecanoyloxytetradecanoylamino)-3-Phosphonooxyoxan-4-Yl] 14-Tetradecanoyloxytetradecanoate
No suppilers available for the product.
Identification
Name [2-(6-Aminohexanoyloxymethyl)-6-[2,3-Dihydroxy-5-(3-Hydroxytetradecanoylamino)-4-(3-Hydroxytetradecanoyloxy)-6-Oxohexoxy]-5-(14-Dodecanoyloxytetradecanoylamino)-3-Phosphonooxyoxan-4-Yl] 14-Tetradecanoyloxytetradecanoate
Synonyms [2-(6-Aminohexanoyloxymethyl)-6-[2,3-Dihydroxy-5-(3-Hydroxytetradecanoylamino)-4-(3-Hydroxytetradecanoyloxy)-6-Oxo-Hexoxy]-5-(14-Dodecanoyloxytetradecanoylamino)-3-Phosphonooxy-Tetrahydropyran-4-Yl] 14-Tetradecanoyloxytetradecanoate; 14-(1-Oxotetradecoxy)Tetradecanoic Acid [2-[(6-Amino-1-Oxohexoxy)Methyl]-6-[2,3-Dihydroxy-4-(3-Hydroxy-1-Oxotetradecoxy)-5-[(3-Hydroxy-1-Oxotetradecyl)Amino]-6-Oxohexoxy]-5-[[1-Oxo-14-(1-Oxododecoxy)Tetradecyl]Amino]-3-Phosphonooxy-4-Tetrahydropyranyl] Ester; Lauric Acid [14-[[6-(6-Aminohexanoyloxymethyl)-2-[2,3-Dihydroxy-5-(3-Hydroxytetradecanoylamino)-4-(3-Hydroxytetradecanoyloxy)-6-Keto-Hexoxy]-5-Phosphonooxy-4-(14-Tetradecanoyloxytetradecanoyloxy)Tetrahydropyran-3-Yl]Amino]-14-Keto-Tetradecyl] Ester
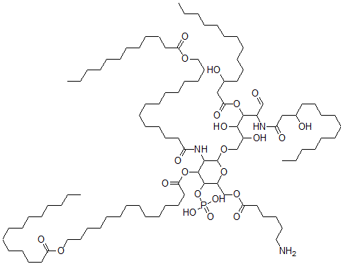
Molecular Structure CAS#: 144710-90-7, [2-(6-Aminohexanoyloxymethyl)-6-[2,3-Dihydroxy-5-(3-Hydroxytetradecanoylamino)-4-(3-Hydroxytetradecanoyloxy)-6-Oxohexoxy]-5-(14-Dodecanoyloxytetradecanoylamino)-3-Phosphonooxyoxan-4-Yl] 14-Tetradecanoyloxytetradecanoate
Molecular Formula C100H188N3O23P
Molecular Weight 1831.57
CAS Registry Number 144710-90-7
SMILES C(CCCCCCCCCCCC)C(OCCCCCCCCCCCCCC(OC1C(NC(=O)CCCCCCCCCCCCCOC(CCCCCCCCCCC)=O)C(OC(C1O[P](O)(O)=O)COC(=O)CCCCCN)OCC(C(C(OC(=O)CC(O)CCCCCCCCCCC)C(C=O)NC(CC(O)CCCCCCCCCCC)=O)O)O)=O)=O
InChI 1S/C100H188N3O23P/c1-5-9-13-17-21-25-28-37-45-53-62-72-91(111)120-77-67-56-48-40-32-27-30-38-46-54-63-74-93(113)124-99-95(103-88(108)70-60-51-43-36-29-26-31-39-47-55-66-76-119-90(110)71-61-52-44-35-24-20-16-12-8-4)100(123-87(98(99)126-127(116,117)118)82-121-92(112)73-64-57-65-75-101)122-81-86(107)96(115)97(125-94(114)79-84(106)69-59-50-42-34-23-19-15-11-7-3)85(80-104)102-89(109)78-83(105)68-58-49-41-33-22-18-14-10-6-2/h80,83-87,95-100,105-107,115H,5-79,81-82,101H2,1-4H3,(H,102,109)(H,103,108)(H2,116,117,118)
InChIKey ZJJXFJIGNRGLSI-UHFFFAOYSA-N
Market Analysis Reports
Related Products
6-Aminohexanoic...  6-Amino-1-hexan...  DL-2-Amino-1-He...  (R)-2-Amino-1-h...  (S)-(+)-2-Amino...  6-Amino-2-Hexan...  3-aminohexan-2-...  N-[(2R)-2-Amino...  1-O-(6-Aminohex...  N-6-Aminohexano...  4'-Aminohexanoy...  22-Amino-5,8,11...  1-Amino-3,6,9,1...  21-Amino-4,7,10...  1-Amino-5-Hexen...  (2E,5S)-5-Amino...  (2E,5R)-5-Amino...  (E)-5-Aminohex-...  (2R)-2-Amino-5-...  2-Amino-5-Hexen...