Online Database of Chemicals from Around the World

Biotin-36-dctp
[CAS 145396-05-0]

Suppliers
CAS#: 145396-05-0
Product: Biotin-36-dctp
No suppilers available for the product.
Identification
Name Biotin-36-dctp
Synonyms [5-[4-Amino-2-Oxo-5-[3-[2-[2-[2-[2-[2-[2-[6-[6-[5-(2-Oxo-1,3,3A,4,6,6A-Hexahydrothieno[3,4-D]Imidazol-6-Yl)Pentanoylamino]Hexanoylamino]Hexanoylamino]Ethoxy]Ethoxy]Ethoxy]Ethoxy]Ethoxy]Ethoxy]Prop-1-Ynyl]Pyrimidin-1-Yl]-3-Hydroxy-Tetrahydrofuran-2-Yl]Methyl (Hydroxy-Phosphonooxy-Phosphoryl) Hydrogen Phosphate; [5-[4-Amino-2-Oxo-5-[3-[2-[2-[2-[2-[2-[2-[[1-Oxo-6-[[1-Oxo-6-[[1-Oxo-5-(2-Oxo-1,3,3A,4,6,6A-Hexahydrothieno[3,4-D]Imidazol-6-Yl)Pentyl]Amino]Hexyl]Amino]Hexyl]Amino]Ethoxy]Ethoxy]Ethoxy]Ethoxy]Ethoxy]Ethoxy]Prop-1-Ynyl]-1-Pyrimidinyl]-3-Hydroxy-2-Tetrahydrofuranyl]Methyl (Hydroxy-Phosphonooxyphosphoryl) Hydrogen Phosphate; [5-[4-Amino-2-Keto-5-[3-[2-[2-[2-[2-[2-[2-[6-[6-[5-(2-Keto-1,3,3A,4,6,6A-Hexahydrothieno[3,4-D]Imidazol-6-Yl)Pentanoylamino]Hexanoylamino]Hexanoylamino]Ethoxy]Ethoxy]Ethoxy]Ethoxy]Ethoxy]Ethoxy]Prop-1-Ynyl]Pyrimidin-1-Yl]-3-Hydroxy-Tetrahydrofuran-2-Yl]Methyl (Hydroxy-Phosphonooxy-Phosphoryl) Hydrogen Phosphate
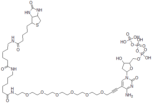
Molecular Structure CAS#: 145396-05-0, Biotin-36-dctp
Molecular Formula C46H79N8O23P3S
Molecular Weight 1237.15
CAS Registry Number 145396-05-0
SMILES C(O[P](O[P](O[P](=O)(O)O)(=O)O)(=O)O)C4OC(N1C(=O)N=C(N)C(=C1)C#CCOCCOCCOCCOCCOCCOCCNC(=O)CCCCCNC(=O)CCCCCNC(=O)CCCCC2SCC3NC(=O)NC23)CC4O
InChI 1S/C46H79N8O23P3S/c47-44-34(31-54(46(60)53-44)42-30-36(55)37(75-42)32-74-79(64,65)77-80(66,67)76-78(61,62)63)10-9-18-68-20-22-70-24-26-72-28-29-73-27-25-71-23-21-69-19-17-50-41(58)13-4-2-8-15-48-39(56)12-3-1-7-16-49-40(57)14-6-5-11-38-43-35(33-81-38)51-45(59)52-43/h31,35-38,42-43,55H,1-8,11-30,32-33H2,(H,48,56)(H,49,57)(H,50,58)(H,64,65)(H,66,67)(H2,47,53,60)(H2,51,52,59)(H2,61,62,63)
InChIKey SKUVIJKENNLWRT-UHFFFAOYSA-N
Market Analysis Reports
Related Products
Biotinamidocapr...  epsilon-Biotina...  Biotinamidocapr...  epsilon-Biotina...  3-[[2-(Biotinam...  N-[6-(Biotinami...  5-(Biotinamido)...  Biotin-beta-Amy...  Biotin 5-Bromop...  Biotin-36-dc7AT...  Biotin Diacid  D-Biotin Dimer ...  Biotin-11-dUTP  Biotin-16-dUTP;...  Biotin-36-dutp;...  Biotin-4-Fluore...  Biotin hydrazid...  (+)-Biotin N-hy...  Biotin-Lys(6)-L...  Biotin-lys-tyr-...