|
CAS#: 145585-99-5 Product: 4-[(6-Amino-4-Hydroxy-2-Oxoazepan-3-Yl)Amino]-3-[[2-Chloro-2-(1-Chlorobutyl)-3-(1-Chloro-2-Hydroxy-2-Oxoethyl)Cyclopropanecarbonyl]Amino]-4-Oxobutanoic Acid No suppilers available for the product. |
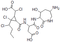
| Name | 4-[(6-Amino-4-Hydroxy-2-Oxoazepan-3-Yl)Amino]-3-[[2-Chloro-2-(1-Chlorobutyl)-3-(1-Chloro-2-Hydroxy-2-Oxoethyl)Cyclopropanecarbonyl]Amino]-4-Oxobutanoic Acid |
|---|---|
| Synonyms | 4-[(6-Amino-4-Hydroxy-2-Oxo-Azepan-3-Yl)Amino]-3-[[2-Chloro-2-(1-Chlorobutyl)-3-(1-Chloro-2-Hydroxy-2-Oxo-Ethyl)Cyclopropanecarbonyl]Amino]-4-Oxo-Butanoic Acid; 4-[(6-Amino-4-Hydroxy-2-Oxo-3-Azepanyl)Amino]-3-[[[2-Chloro-2-(1-Chlorobutyl)-3-(1-Chloro-2-Hydroxy-2-Oxoethyl)Cyclopropyl]-Oxomethyl]Amino]-4-Oxobutanoic Acid; 4-[(6-Amino-4-Hydroxy-2-Keto-Azepan-3-Yl)Amino]-3-[[2-Chloro-2-(1-Chlorobutyl)-3-(1-Chloro-2-Hydroxy-2-Keto-Ethyl)Cyclopropanecarbonyl]Amino]-4-Keto-Butyric Acid |
| Molecular Structure | ![]() |
| Molecular Formula | C20H29Cl3N4O8 |
| Molecular Weight | 559.83 |
| CAS Registry Number | 145585-99-5 |
| SMILES | C(C(Cl)C1(Cl)C(C1C(=O)NC(C(=O)NC2C(O)CC(N)CNC2=O)CC(=O)O)C(Cl)C(=O)O)CC |
| InChI | 1S/C20H29Cl3N4O8/c1-2-3-10(21)20(23)12(14(22)19(34)35)13(20)17(32)26-8(5-11(29)30)16(31)27-15-9(28)4-7(24)6-25-18(15)33/h7-10,12-15,28H,2-6,24H2,1H3,(H,25,33)(H,26,32)(H,27,31)(H,29,30)(H,34,35) |
| InChIKey | RSMNHRRWERNDLZ-UHFFFAOYSA-N |
| Density | 1.549g/cm3 (Cal.) |
|---|---|
| Boiling point | 983.338°C at 760 mmHg (Cal.) |
| Flash point | 548.503°C (Cal.) |
| Market Analysis Reports |