Online Database of Chemicals from Around the World

(1aS-(1aalpha,1bbeta,2beta,5abeta,6beta,6aalpha))-1a,1b,2,5a,6,6a-Hexahydro-1alpha-(Hydroxymethyl)-6-Methoxyoxireno(4,5)Cyclopenta(1,2-c)Pyran-2-Yl 6-O-beta-D-Xylopyranosyl-beta-D-Glucopyranoside
[CAS 149155-50-0]

Suppliers
CAS#: 149155-50-0
Product: (1aS-(1aalpha,1bbeta,2beta,5abeta,6beta,6aalpha))-1a,1b,2,5a,6,6a-Hexahydro-1alpha-(Hydroxymethyl)-6-Methoxyoxireno(4,5)Cyclopenta(1,2-c)Pyran-2-Yl 6-O-beta-D-Xylopyranosyl-beta-D-Glucopyranoside
No suppilers available for the product.
Identification
Name (1aS-(1aalpha,1bbeta,2beta,5abeta,6beta,6aalpha))-1a,1b,2,5a,6,6a-Hexahydro-1alpha-(Hydroxymethyl)-6-Methoxyoxireno(4,5)Cyclopenta(1,2-c)Pyran-2-Yl 6-O-beta-D-Xylopyranosyl-beta-D-Glucopyranoside
Synonyms 1A,1B,2,5A,6,6A-Hexahydro-1A-(Hydroxymethyl)-6-Methoxyoxireno(4,5)Cyclopenta(1,2-C)Pyran-2-Yl 6-O-Beta-D-Xylopyranosyl-Beta-D-Glucopyranoside (1As-(1Aalpha,1Bbeta,2Beta,5Abeta,6Beta,6Aalpha))-; 6'-O-(Beta-D-Xylopyranosyl)Methylcatalpol; Karsoside
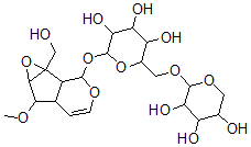
Molecular Structure CAS#: 149155-50-0, (1aS-(1aalpha,1bbeta,2beta,5abeta,6beta,6aalpha))-1a,1b,2,5a,6,6a-Hexahydro-1alpha-(Hydroxymethyl)-6-Methoxyoxireno(4,5)Cyclopenta(1,2-c)Pyran-2-Yl 6-O-beta-D-Xylopyranosyl-beta-D-Glucopyranoside
Molecular Formula C21H32O14
Molecular Weight 508.48
CAS Registry Number 149155-50-0
SMILES C(C23C1C(OC=CC1C(C2O3)OC)OC5C(O)C(O)C(O)C(COC4OCC(O)C(C4O)O)O5)O
InChI 1S/C21H32O14/c1-29-16-7-2-3-30-18(10(7)21(6-22)17(16)35-21)34-20-15(28)13(26)12(25)9(33-20)5-32-19-14(27)11(24)8(23)4-31-19/h2-3,7-20,22-28H,4-6H2,1H3
InChIKey LOKOJGZZDJOXCS-UHFFFAOYSA-N
Properties
Density 1.664g/cm3 (Cal.)
Boiling point 776.198°C at 760 mmHg (Cal.)
Flash point 423.23°C (Cal.)
Market Analysis Reports
Related Products
Hexahydro-6-(hy...  Hexahydro-3-(hy...  Hexahydro-5-(hy...  Hexahydro-4-(hy...  (4R,12aS)-3,4,6...  (2R)-1,2,6,6aal...  Hexahydro-7-(1-...  (3aS,7aS)-(+)-H...  (3R)-4,4abeta,5...  (6aS,7R,13S,14R...  (2E,4E)-N-[(2S,...  (4R,6R)-6-[2-[(...  (2S-(2alpha,11a...  2,3,5,10,11,11a...  [3aR-(3aalpha,4...  (1S-(1alpha,2al...  (1R,2R,7alphaR)...  (1R,2R,3S,6S,7S...  Hexahydro-3-(hy...  (1R,2R,3R,7R,7a...