Online Database of Chemicals from Around the World

Jaspisamide B
[CAS 149420-77-9]

Suppliers
CAS#: 149420-77-9
Product: Jaspisamide B
No suppilers available for the product.
Identification
Name Jaspisamide B
Synonyms Kabiramide C, 21-O-De(Aminocarbonyl)-23,24-Didehydro-3,23-Demethyl-25-Deoxy-25-Oxo-
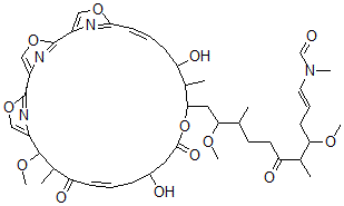
Molecular Structure CAS#: 149420-77-9, Jaspisamide B
Molecular Formula C44H60N4O13
Molecular Weight 852.98
CAS Registry Number 149420-77-9
SMILES C(C4OC(=O)CC(O)C/C=C/C(=O)C(C(OC)C1=COC(=N1)C2=COC(=N2)C3=COC(=N3)\C=C/CC(O)C4C)C)C(OC)C(CCC(=O)C(C(OC)C\C=C\N(C=O)C)C)C
InChI 1S/C44H60N4O13/c1-26(17-18-36(53)27(2)37(55-6)15-11-19-48(5)25-49)38(56-7)21-39-28(3)34(51)14-10-16-40-45-32(23-58-40)43-47-33(24-60-43)44-46-31(22-59-44)42(57-8)29(4)35(52)13-9-12-30(50)20-41(54)61-39/h9-11,13,16,19,22-30,34,37-39,42,50-51H,12,14-15,17-18,20-21H2,1-8H3/b13-9+,16-10-,19-11+
InChIKey RFDARNYKMNISNP-FGJKLWHMSA-N
Market Analysis Reports
Related Products
Jasmolactone;6-...  gamma-Jasmolact...  Jasmone;cis-3-M...  (+/-)-Jasmonic ...  (-)-Jasmonic Ac...  trans-Jasmonic ...  rac-trans Jasmo...  rac-trans Jasmo...  cis-Jasmonolact...  jaspisamide A  Jaspisamide C;K...  (+)-Jasplakinol...  Jatamanvaltrate...  Jatropham;(5R)-...  Jatrophane 1  Jatrophane 2;2,...  Jatrophane 3;2,...  Jatrophane 4;2,...  Jatrophane 5;2,...  Jatrophane 6