Online Database of Chemicals from Around the World

Idraparinux sodium
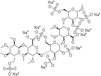
[CAS 149920-56-9]

List of Suppliers
CAS: 149920-56-9
Product: Idraparinux sodium
No suppliers available.
Identification
NameIdraparinux sodium
SynonymsIdraparinux; Org 34006; SANORG 34006; SR 34006
Molecular StructureIdraparinux sodium molecular structure (CAS 149920-56-9)
Molecular FormulaC38H55O49S7.9Na
Molecular Weight1727.18
CAS Registry Number149920-56-9
Market Analysis Reports
Related Products
7-(alpha-L-Idop...  O-(alpha-L-Idop...  D-Idosamine  L-(-)-Idose  D-Idose  L-Idouronic Aci...  Idoxifene  ent-Idoxuridine  3’-epi-Idoxurid...  Idralfidine  Idremcinal  Idrocilamide  Idropranolol  Iduronate 2-sul...  Idursulfase  IEM 1754  Iem 760  Z-IETD-FMK  Ifenprodil  Ifenprodil Gluc...