Online Database of Chemicals from Around the World

[(2R,3R,4R,5R)-5-(2,4-Dioxopyrimidin-1-Yl)-3,4-Dihydroxy-4-Methyloxolan-2-Yl]Methyl Phosphono Hydrogen Phosphate
[CAS 150993-73-0]

Suppliers
Achemica Switzerland
+41 (24) 466-2929
contact@achemica.com
Chemical manufacturer since 2010
Identification
Name [(2R,3R,4R,5R)-5-(2,4-Dioxopyrimidin-1-Yl)-3,4-Dihydroxy-4-Methyloxolan-2-Yl]Methyl Phosphono Hydrogen Phosphate
Synonyms [(2R,3R,4R,5R)-5-(2,4-Dioxopyrimidin-1-Yl)-3,4-Dihydroxy-4-Methyl-Tetrahydrofuran-2-Yl]Methyl Phosphono Hydrogen Phosphate; [(2R,3R,4R,5R)-5-(2,4-Dioxo-1-Pyrimidinyl)-3,4-Dihydroxy-4-Methyl-2-Tetrahydrofuranyl]Methyl Phosphono Hydrogen Phosphate; [(2R,3R,4R,5R)-5-(2,4-Diketopyrimidin-1-Yl)-3,4-Dihydroxy-4-Methyl-Tetrahydrofuran-2-Yl]Methyl Phosphono Hydrogen Phosphate
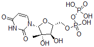
Molecular Structure CAS#: 150993-73-0, [(2R,3R,4R,5R)-5-(2,4-Dioxopyrimidin-1-Yl)-3,4-Dihydroxy-4-Methyloxolan-2-Yl]Methyl Phosphono Hydrogen Phosphate
Molecular Formula C10H16N2O12P2
Molecular Weight 418.19
CAS Registry Number 150993-73-0
SMILES [C@@]1(O)([C@@H](O[C@@H]([C@H]1O)CO[P](O[P](=O)(O)O)(=O)O)N2C(=O)NC(=O)C=C2)C
InChI 1S/C10H16N2O12P2/c1-10(16)7(14)5(4-22-26(20,21)24-25(17,18)19)23-8(10)12-3-2-6(13)11-9(12)15/h2-3,5,7-8,14,16H,4H2,1H3,(H,20,21)(H,11,13,15)(H2,17,18,19)/t5-,7-,8-,10-/m1/s1
InChIKey LFWWNDZBFDONAW-VPCXQMTMSA-N
Properties
Density 1.899g/cm3 (Cal.)
Market Analysis Reports
Related Products
1,3-Dioxo-2-(2-...  1,3-Dioxo-2-(3-...  1,3-Dioxo-2-(4-...  1,3-Dioxo-2-Pyr...  2,6-Dioxo-3H-Py...  2,6-Dioxo-3H-Py...  6-Dioxo-4-Pyrim...  2,4-dioxo-1H-py...  2-(2,4-Dioxopyr...  1-(2,4-Dioxopyr...  5-(2,4-Dioxopyr...  [2-[(2S,3S,4R,5...  [[(2R,3S,4R,5R)...  [[(2R,3S,4R,5R)...  [[[(2R,3S,4R,5R...  (2S,3S,4S,5R,6R...  [[(2R,3S,4R,5R)...  [(2R,3R,4R,5R)-...  [5-(2,4-Dioxo-1...  [(2R,3S,4R,5R)-...