| Carbosynth China Ltd. | China | |||
|---|---|---|---|---|
![]() |
+86 (512) 6260-5585 | |||
![]() |
sales@carbosynth.com | |||
![]() |
QQ Chat | |||
| Chemical manufacturer since 2006 Chemical distributor since 2006 | ||||
| chemBlink massive supplier since 2016 | ||||
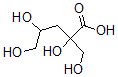
| Name | alpha-D-Isosaccharinic Acid |
|---|---|
| Synonyms | 2,4,5-Trihydroxy-2-Methylol-Valeric Acid; Beta-Glucoisosaccharinic Acid; 3-Deoxy-2-C-(Hydroxymethyl)-D-Erythro-Pentonic Acid |
| Molecular Structure | ![]() |
| Molecular Formula | C6H12O6 |
| Molecular Weight | 180.16 |
| CAS Registry Number | 1518-54-3 (1518-56-5) |
| SMILES | C(C(C(=O)O)(O)CO)C(O)CO |
| InChI | 1S/C6H12O6/c7-2-4(9)1-6(12,3-8)5(10)11/h4,7-9,12H,1-3H2,(H,10,11) |
| InChIKey | SGOVJIDEXZEOTB-UHFFFAOYSA-N |
| Density | 1.599g/cm3 (Cal.) |
|---|---|
| Boiling point | 583.849°C at 760 mmHg (Cal.) |
| Flash point | 320.939°C (Cal.) |
| Market Analysis Reports |