Online Database of Chemicals from Around the World

[(2R,3S,4R,5R)-2-[(2R,3R,4S,5S,6R)-3-Acetyloxy-4,5-Dihydroxy-6-[[(E)-3-(4-Hydroxy-3-Methoxyphenyl)Prop-2-Enoyl]Oxymethyl]Oxan-2-Yl]Oxy-4-Hydroxy-2,5-Bis[[(E)-3-(4-Hydroxyphenyl)Prop-2-Enoyl]Oxymethyl]Oxolan-3-Yl] (E)-3-(4-Hydroxyphenyl)Prop-2-Enoate
[CAS 155179-22-9]

Suppliers
CAS#: 155179-22-9
Product: [(2R,3S,4R,5R)-2-[(2R,3R,4S,5S,6R)-3-Acetyloxy-4,5-Dihydroxy-6-[[(E)-3-(4-Hydroxy-3-Methoxyphenyl)Prop-2-Enoyl]Oxymethyl]Oxan-2-Yl]Oxy-4-Hydroxy-2,5-Bis[[(E)-3-(4-Hydroxyphenyl)Prop-2-Enoyl]Oxymethyl]Oxolan-3-Yl] (E)-3-(4-Hydroxyphenyl)Prop-2-Enoate
No suppilers available for the product.
Identification
Name [(2R,3S,4R,5R)-2-[(2R,3R,4S,5S,6R)-3-Acetyloxy-4,5-Dihydroxy-6-[[(E)-3-(4-Hydroxy-3-Methoxyphenyl)Prop-2-Enoyl]Oxymethyl]Oxan-2-Yl]Oxy-4-Hydroxy-2,5-Bis[[(E)-3-(4-Hydroxyphenyl)Prop-2-Enoyl]Oxymethyl]Oxolan-3-Yl] (E)-3-(4-Hydroxyphenyl)Prop-2-Enoate
Synonyms [(2R,3S,4R,5R)-2-[(2R,3R,4S,5S,6R)-3-Acetoxy-4,5-Dihydroxy-6-[[(E)-3-(4-Hydroxy-3-Methoxy-Phenyl)Prop-2-Enoyl]Oxymethyl]Tetrahydropyran-2-Yl]Oxy-4-Hydroxy-2,5-Bis[[(E)-3-(4-Hydroxyphenyl)Prop-2-Enoyl]Oxymethyl]Tetrahydrofuran-3-Yl] (E)-3-(4-Hydroxyphenyl)Prop-2-Enoate; (E)-3-(4-Hydroxyphenyl)Prop-2-Enoic Acid [(2R,3S,4R,5R)-2-[[(2R,3R,4S,5S,6R)-3-Acetoxy-4,5-Dihydroxy-6-[[(E)-3-(4-Hydroxy-3-Methoxyphenyl)-1-Oxoprop-2-Enoxy]Methyl]-2-Tetrahydropyranyl]Oxy]-4-Hydroxy-2,5-Bis[[(E)-3-(4-Hydroxyphenyl)-1-Oxoprop-2-Enoxy]Methyl]-3-Tetrahydrofuranyl] Ester; (E)-3-(4-Hydroxyphenyl)Acrylic Acid [(2R,3S,4R,5R)-2-[(2R,3R,4S,5S,6R)-3-Acetoxy-4,5-Dihydroxy-6-[[(E)-3-(4-Hydroxy-3-Methoxy-Phenyl)Acryloyl]Oxymethyl]Tetrahydropyran-2-Yl]Oxy-4-Hydroxy-2,5-Bis[[(E)-3-(4-Hydroxyphenyl)Acryloyl]Oxymethyl]Tetrahydrofuran-3-Yl] Ester
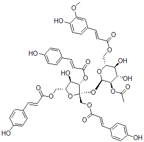
Molecular Structure CAS#: 155179-22-9, [(2R,3S,4R,5R)-2-[(2R,3R,4S,5S,6R)-3-Acetyloxy-4,5-Dihydroxy-6-[[(E)-3-(4-Hydroxy-3-Methoxyphenyl)Prop-2-Enoyl]Oxymethyl]Oxan-2-Yl]Oxy-4-Hydroxy-2,5-Bis[[(E)-3-(4-Hydroxyphenyl)Prop-2-Enoyl]Oxymethyl]Oxolan-3-Yl] (E)-3-(4-Hydroxyphenyl)Prop-2-Enoate
Molecular Formula C51H50O21
Molecular Weight 998.94
CAS Registry Number 155179-22-9
SMILES [C@]1(O[C@@H]([C@@H](O)[C@@H]1OC(=O)\C=C\C2=CC=C(O)C=C2)COC(=O)\C=C\C3=CC=C(O)C=C3)(O[C@H]4O[C@@H]([C@@H](O)[C@H](O)[C@H]4OC(=O)C)COC(=O)\C=C\C5=CC=C(O)C(=C5)OC)COC(=O)\C=C\C6=CC=C(O)C=C6
InChI 1S/C51H50O21/c1-29(52)68-48-47(63)45(61)39(26-65-42(58)23-13-33-9-20-37(56)38(25-33)64-2)69-50(48)72-51(28-67-43(59)22-11-31-5-16-35(54)17-6-31)49(70-44(60)24-12-32-7-18-36(55)19-8-32)46(62)40(71-51)27-66-41(57)21-10-30-3-14-34(53)15-4-30/h3-25,39-40,45-50,53-56,61-63H,26-28H2,1-2H3/b21-10+,22-11+,23-13+,24-12+/t39-,40-,45-,46-,47+,48-,49+,50-,51-/m1/s1
InChIKey RNXDQKHOEWIRNH-FBMBONOOSA-N
Properties
Density 1.518g/cm3 (Cal.)
Boiling point 1155.821°C at 760 mmHg (Cal.)
Flash point 332.63°C (Cal.)
Market Analysis Reports
Related Products
3-(Acetyloxy)-2...  (2S-cis)-3-(Ace...  5-(Acetyloxy)-4...  4-(Acetyloxy)-3...  (1R-(1alpha,4 A...  (2S,16S,17S,18R...  (2R,3S,6S)-3-(A...  3alpha-Acetylox...  [(2S,3R,4S,5R)-...  (7S,13E,16S,18R...  (16alpha)-21-Ac...  (9beta)-16alpha...  (1S,3R,8S,9S,10...  3-[[(2R,3R,4S,5...  [(2S,8S,9R,10R,...  (6beta,11beta)-...  12-(Acetyloxy)-...  2-[[(E,1R,2S,3S...  [2-Acetyloxy-5-...  (3alpha,5beta)-...