Online Database of Chemicals from Around the World

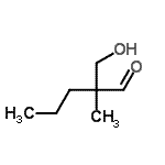
2-(Hydroxymethyl)-2-Methylpentanal
[CAS 1634-71-5]

Suppliers
Achemica Switzerland
+41 (24) 466-2929
contact@achemica.com
Chemical manufacturer since 2010
Otava Ltd. Ukraine
+380 (44) 522-2458
order@otavachemicals.com
Chemical manufacturer since 1997
Identification
Name 2-(Hydroxymethyl)-2-Methylpentanal
Molecular Structure CAS#: 1634-71-5, 2-(Hydroxymethyl)-2-Methylpentanal
Molecular Formula C7H14O2
Molecular Weight 130.18
CAS Registry Number 1634-71-5
SMILES O=CC(C)(CCC)CO
InChI 1S/C7H14O2/c1-3-4-7(2,5-8)6-9/h5,9H,3-4,6H2,1-2H3
InChIKey FKNUYPBTCINVEP-UHFFFAOYSA-N
Properties
Density 0.937g/cm3 (Cal.)
Boiling point 196.666°C at 760 mmHg (Cal.)
Flash point 76.539°C (Cal.)
Refractive index 1.433 (Cal.)
Market Analysis Reports
Related Products
1-[3-(Hydroxyme...  4-(2-Hydroxy-5-...  4-(Hydroxymethy...  5-(Hydroxymethy...  4-[(Z)-2-Hydrox...  4-Hydroxy-6-met...  [[5-(Hydroxymet...  N'-[(E)-[5-(Hyd...  4-(5-Hydroxy-3-...  5-(Hydroxymethy...  2-(Hydroxymethy...  (2R,3S,4R)-2-(H...  2-(Hydroxymethy...  2-(Hydroxymethy...  2-(Hydroxymethy...  2-(Hydroxymethy...  2-(Hydroxymethy...  4-[2-(Hydroxyme...  2-(Hydroxymethy...  1-O-(2-{[3-(Hyd...