Online Database of Chemicals from Around the World

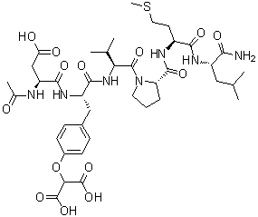
N-Acetyl-L-alpha-aspartyl-O-(dicarboxymethyl)-L-tyrosyl-L-valyl-L-prolyl-L-methionyl-L-leucinamide
[CAS 168135-79-3]

List of Suppliers
Creative Peptides USA
www.creative-peptides.com
+1 (631) 624-4882
+1 (631) 614-7828
info@creative-peptides.com
Chemical manufacturer
chemBlink Standard supplier since 2010

Identification
NameN-Acetyl-L-alpha-aspartyl-O-(dicarboxymethyl)-L-tyrosyl-L-valyl-L-prolyl-L-methionyl-L-leucinamide
Molecular StructureN-Acetyl-L-alpha-aspartyl-O-(dicarboxymethyl)-L-tyrosyl-L-valyl-L-prolyl-L-methionyl-L-leucinamide molecular structure (CAS 168135-79-3)
Molecular FormulaC39H57N7O14S
Molecular Weight879.97
CAS Registry Number168135-79-3
Properties
SolubilityVery slightly soluble (0.97 g/L) (25 °C), Calc.*
Density1.338±0.06 g/cm3 (20 °C 760 Torr), Calc.*
*Calculated using Advanced Chemistry Development (ACD/Labs) Software V11.02 (©1994-2016 ACD/Labs)
Market Analysis Reports
Related Products
Acetyl-Asparagi...  Acetyl-Asparagi...  N-Acetyl-D-aspa...  N-Acetyl-DL-asp...  N-Acetyl-L-aspa...  N-Acetyl-L-Aspa...  N-Acetyl-L-aspa...  N-Acetyl-Aspart...  N-Acetyl-L-alph...  N-Acetyl-L-alph...  N-Acetyl-L-aspa...  N-Acetyl-L-alph...  N-Acetyl-L-alph...  Acetyl-aspartyl...  N-Acetyl-L-alph...  N-Acetyl-L-alph...  N-Acetyl-L-alph...  N-Acetyl-L-alph...  Acetyl-aspartyl...  N-Acetyl-L-alph...