Online Database of Chemicals from Around the World

Methyl N-{(2R)-3-Methyl-1-[(2-Methyl-2-Propanyl)Amino]-1-Oxo-2-Butanyl}-L-Valinate
[CAS 169453-32-1]

Suppliers
Atomax Chemicals Co., Ltd. China
+86 13417589054/
info@atomaxchem.com,atomax.chemicals@gmail.com
QQ Chat
Chemical manufacturer
Identification
Name Methyl N-{(2R)-3-Methyl-1-[(2-Methyl-2-Propanyl)Amino]-1-Oxo-2-Butanyl}-L-Valinate
Synonyms (S)-methyl 2-(((R)-1-(tert-butylamino)-3-methyl-1-oxobutan-2-yl)amino)-3-methylbutanoate
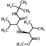
Molecular Structure CAS#: 169453-32-1, Methyl N-{(2R)-3-Methyl-1-[(2-Methyl-2-Propanyl)Amino]-1-Oxo-2-Butanyl}-L-Valinate
Molecular Formula C15H30N2O3
Molecular Weight 286.41
CAS Registry Number 169453-32-1
SMILES CC(C)[C@H](C(=O)NC(C)(C)C)N[C@@H](C(C)C)C(=O)OC
InChI 1S/C15H30N2O3/c1-9(2)11(13(18)17-15(5,6)7)16-12(10(3)4)14(19)20-8/h9-12,16H,1-8H3,(H,17,18)/t11-,12+/m1/s1
InChIKey BRVFFCZPWQQGLC-NEPJUHHUSA-N
Properties
Density 0.968g/cm3 (Cal.)
Boiling point 398.883°C at 760 mmHg (Cal.)
Flash point 195.038°C (Cal.)
Refractive index 1.455 (Cal.)
Market Analysis Reports
Related Products
4-Methyl-N-[(1S...  Methyl 4-Methyl...  Methyl N-Methyl...  Methyl N-{(2S)-...  Methyl N-{(2R)-...  Methyl N-{(2S)-...  Methyl N-{(2R)-...  Methyl N-{(2S)-...  Methyl N-{(2R)-...  Methyl N-{(2S)-...  Methyl 2-methyl...  5-Methyl-2-(met...  Methyl 1-Methyl...  Methyl (2S)-2-[...  Methyl 3-Methyl...  Methyl 2-methyl...  Methyl 2-methyl...  Methyl 2-methyl...  Methyl 2-Methyl...  4-Methyl-2-[3-m...