Online Database of Chemicals from Around the World

12-(Acetyloxy)-15,20-Dihydro-15,20-Dihydroxy-4-Methyl-4,8-Secosenecionan-8,11,16-Trione
[CAS 16958-31-9]

Suppliers
CAS#: 16958-31-9
Product: 12-(Acetyloxy)-15,20-Dihydro-15,20-Dihydroxy-4-Methyl-4,8-Secosenecionan-8,11,16-Trione
No suppilers available for the product.
Identification
Name 12-(Acetyloxy)-15,20-Dihydro-15,20-Dihydroxy-4-Methyl-4,8-Secosenecionan-8,11,16-Trione
Synonyms Acetic Acid [(1R,6R,7R,11Z)-4-Hydroxy-4-(1-Hydroxyethyl)-6,7,14-Trimethyl-3,8,17-Trioxo-2,9-Dioxa-14-Azabicyclo[9.5.1]Heptadec-11-En-7-Yl] Ester; Acetic Acid [(1R,6R,7R,11Z)-4-Hydroxy-4-(1-Hydroxyethyl)-3,8,17-Triketo-6,7,14-Trimethyl-2,9-Dioxa-14-Azabicyclo[9.5.1]Heptadec-11-En-7-Yl] Ester; [(1R,6R,7R,11Z)-4-Hydroxy-4-(1-Hydroxyethyl)-6,7,14-Trimethyl-3,8,17-Trioxo-2,9-Dioxa-14-Azabicyclo[9.5.1]Heptadec-11-En-7-Yl] Ethanoate
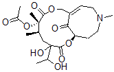
Molecular Structure CAS#: 16958-31-9, 12-(Acetyloxy)-15,20-Dihydro-15,20-Dihydroxy-4-Methyl-4,8-Secosenecionan-8,11,16-Trione
Molecular Formula C21H31NO9
Molecular Weight 441.48
CAS Registry Number 16958-31-9
SMILES [C@]2(OC(=O)C)([C@@H](CC(O)(C(O[C@H]1C(=O)C(=C\CN(CC1)C)/COC2=O)=O)C(O)C)C)C
InChI 1S/C21H31NO9/c1-12-10-21(28,13(2)23)19(27)30-16-7-9-22(5)8-6-15(17(16)25)11-29-18(26)20(12,4)31-14(3)24/h6,12-13,16,23,28H,7-11H2,1-5H3/b15-6-/t12-,13?,16-,20-,21?/m1/s1
InChIKey MPJBVZKNLCGQHF-HOVRZMKWSA-N
Properties
Density 1.303g/cm3 (Cal.)
Boiling point 636.189°C at 760 mmHg (Cal.)
Flash point 338.555°C (Cal.)
Market Analysis Reports
Related Products
[4-[2-(4-Acetyl...  (Acetyloxy-Dibu...  [(2R,3R)-3-Acet...  (3-Acetyloxy-1,...  (3beta,5alpha,1...  (11alpha,13alph...  Acetyloxy Diflo...  (6a,11b)-21-(Ac...  2-Acetyloxy-1-(...  1-(Acetyloxy)-1...  (4R)-4-(Acetylo...  (4S)-4-(Acetylo...  (2E)-(+)-3-[5-(...  (11beta,16beta)...  (2S,3S)-3-(Acet...  3-(Acetyloxy)-2...  (2S-cis)-3-(Ace...  5-(Acetyloxy)-4...  4-(Acetyloxy)-3...  (1R-(1alpha,4 A...