| Carbosynth China Ltd. | China | |||
|---|---|---|---|---|
![]() |
+86 (512) 6260-5585 | |||
![]() |
sales@carbosynth.com | |||
![]() |
QQ Chat | |||
| Chemical manufacturer since 2006 Chemical distributor since 2006 | ||||
| chemBlink massive supplier since 2016 | ||||
| Alfa Chemistry | USA | |||
|---|---|---|---|---|
![]() |
+1 (201) 478-8534 | |||
![]() |
inquiry@alfa-chemistry.com | |||
| Chemical distributor since 2012 | ||||
| chemBlink standard supplier since 2012 | ||||
| Biosynth AG. | Switzerland | |||
|---|---|---|---|---|
![]() |
+41 (71) 858-2020 | |||
![]() |
welcome@biosynth.ch | |||
| Chemical manufacturer | ||||
| Glentham Life Sciences | UK | |||
|---|---|---|---|---|
![]() |
+44 (2033) 978-798 | |||
![]() |
info@glenthamls.com | |||
| Chemical distributor since 2013 | ||||
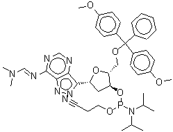
| Name | (1R)-1,4-Anhydro-5-O-[bis(4-methoxyphenyl)(phenyl)methyl]-3-O-[(2-cyanoethoxy)(diisopropylamino)phosphino]-2-deoxy-1-(7-{(E)-[(dimethylamino)methylene]amino}-2H-pyrazolo[4,3-d]pyrimidin-3-yl)-D-erythro-pentitol |
|---|---|
| Synonyms | 2-(Dimeth |
| Molecular Structure | ![]() |
| Molecular Formula | C43H53N8O6P |
| Molecular Weight | 808.90 |
| CAS Registry Number | 178925-41-2 |
| SMILES | N#CCCOP(O[C@H]4C[C@@H](O[C@@H]4COC(c1ccc(OC)cc1)(c2ccccc2)c3ccc(OC)cc3)c5c6ncnc(/N=C/N(C)C)c6nn5)N(C(C)C)C(C)C |
| InChI | 1S/C43H53N8O6P/c1-29(2)51(30(3)4)58(55-24-12-23-44)57-36-25-37(39-40-41(49-48-39)42(46-27-45-40)47-28-50(5)6)56-38(36)26-54-43(31-13-10-9-11-14-31,32-15-19-34(52-7)20-16-32)33-17-21-35(53-8)22-18-33/h9-11,13-22,27-30,36-38H,12,24-26H2,1-8H3,(H,48,49)/b47-28+/t36-,37+,38+,58?/m0/s1 |
| InChIKey | LHOYFIRBNASJKY-MVNRDPLJSA-N |
| Refractive index | (Cal.) |
|---|---|
| Market Analysis Reports |