Identification
| Name |
Imino-tris(dimethylamino)phosphonium tetrafluoroborate |
| Synonyms |
Iminotris(dimethylamino)phosphonium tetrafluoroborate salt; Iminotris(dimethylamino)phosphonium, tetrafluoroborate salt; Tris(dimethylamino)iminophosphorane tetrafluoroborate salt |
|
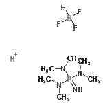
| Molecular Structure |
 |
| Molecular Formula |
C6H20BF4N4P |
| Molecular Weight |
266.03 |
| CAS Registry Number |
181470-75-7 |
| SMILES |
[H+].F[B-](F)(F)F.N=P(N(C)C)(N(C)C)N(C)C |
| InChI |
1S/C6H19N4P.BF4/c1-8(2)11(7,9(3)4)10(5)6;2-1(3,4)5/h7H,1-6H3;/q;-1/p+1 |
| InChIKey |
AWOKSRSPMVEIJG-UHFFFAOYSA-O |
|