Online Database of Chemicals from Around the World

Cyanoethyl sucrose
[CAS 18304-13-7]

List of Suppliers
Yancheng Jiangzhong Chemicals Co., Ltd. China
www.chinajzchemicals.com
+86 (515) 8898-1987
+86 13365196093
+8613918567443
+86 (515) 8839-6093
richard.li_jzchem@263.net
QQ Chat
Chemical manufacturer since 1989
chemBlink Standard supplier since 2011
Alfa Chemistry USA
www.alfa-chemistry.com
+1 (201) 478-8534
+1 (516) 927-0118
inquiry@alfa-chemistry.com
Chemical distributor since 2012
chemBlink Standard supplier since 2012

Identification
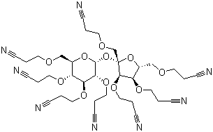
NameCyanoethyl sucrose
SynonymsOctakis-O-(2-cyanoethyl)sucrose
Molecular StructureCyanoethyl sucrose molecular structure (CAS 18304-13-7)
Molecular FormulaC36H46N8O11
Molecular Weight766.80
CAS Registry Number18304-13-7
EC Number242-187-3
Safety Data
SDSAvailable
Market Analysis Reports
Related Products
1-(2-Cyanoethyl...  2-Cyano-1-(1-Et...  2-Cyano-1-(1-Et...  4-Cyano-2-ethyl...  2-Cyanoethylpyr...  4-(N-(2-Cyanoet...  1-(2-Cyanoethyl...  1-(2-Cyanoethyl...  1-Cyanoethyl Ra...  2-Cyanoethyl L-...  [1-(2-Cyanoethy...  3-[3-(2-Cyanoet...  5-{[(2-Cyanoeth...  3-(2-Cyanoethyl...  2-Cyanoethyl N,...  3-{[1-(2-Cyanoe...  4-Cyano-N-(2-et...  1-(2-Cyanoethyl...  2-[(2-Cyanoethy...  2-[(2-Cyanoethy...