Online Database of Chemicals from Around the World

Mogroside VI
[CAS 189307-15-1]

List of Suppliers
Chengdu Biopurify Phytochemicals Ltd. China
www.phytopurify.com
+86 (28) 8263-3860
8263-3987
+86 (28) 8263-3165
sales@biopurify.com
biopurify@gmail.com
QQ Chat
Skype Chat
Chemical manufacturer
chemBlink Standard supplier since 2017

Identification
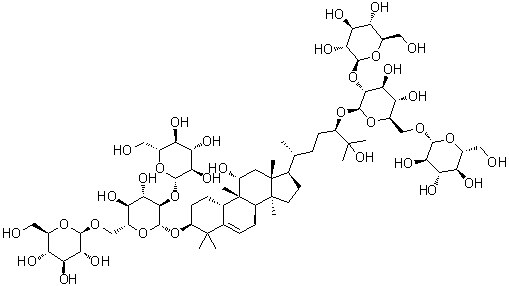
NameMogroside VI
Synonyms(3beta,9beta,10alpha,11alpha,24R)-11,25-Dihydroxy-9-methyl-19-norlanost-5-ene-3,24-diyl bis[O-beta-D-glucopyranosyl-(1→2)-O-[beta-D-glucopyranosyl-(1→6)]-beta-D-glucopyranoside
Molecular StructureMogroside VI molecular structure (CAS 189307-15-1)
Molecular FormulaC66H112O34
Molecular Weight1449.58
CAS Registry Number189307-15-1
Properties
SolubilityInsoluble (1.4E-3 g/L) (25 °C), Calc.*
Density1.55±0.1 g/cm3 (20 °C 760 Torr), Calc.*
*Calculated using Advanced Chemistry Development (ACD/Labs) Software V11.02 (©1994-2016 ACD/Labs)
Market Analysis Reports
Related Products
Mogroside II A  Mogroside II B  Mogroside III  Mogroside III-E  Mogroside III-A...  Mogroside III-A...  Mogroside IV-A  Mogroside IV-E  Mogroside IV  Mogroside V  Mogroside VI  Moguisteine  Molasses  Moldavoside  Molecular Probe...  Molecular Sieve...  Molecular triti...  Molephantin  Molephantinin  Molidustat