Online Database of Chemicals from Around the World

Gly(7)-Oxytocin
[CAS 19748-53-9]

Suppliers
CAS#: 19748-53-9
Product: Gly(7)-Oxytocin
No suppilers available for the product.
Identification
Name Gly(7)-Oxytocin
Synonyms (4R,7S,10S,16S,19R)-19-Amino-7-(2-Amino-2-Oxo-Ethyl)-N-[2-[[(1S)-1-[(2-Amino-2-Oxo-Ethyl)Carbamoyl]-3-Methyl-Butyl]Amino]-2-Oxo-Ethyl]-10-(3-Amino-3-Oxo-Propyl)-16-[(4-Hydroxyphenyl)Methyl]-6,9,12,15,18-Pentaoxo-13-Sec-Butyl-1,2-Dithia-5,8,11,14,17-Pentazacycloicosane-4-Carboxamide; (4R,7S,10S,16S,19R)-19-Amino-7-(2-Amino-2-Oxoethyl)-N-[2-[[(1S)-1-[[(2-Amino-2-Oxoethyl)Amino]-Oxomethyl]-3-Methylbutyl]Amino]-2-Oxoethyl]-10-(3-Amino-3-Oxopropyl)-16-[(4-Hydroxyphenyl)Methyl]-6,9,12,15,18-Pentaoxo-13-Sec-Butyl-1,2-Dithia-5,8,11,14,17-Pentazacycloicosane-4-Carboxamide; (4R,7S,10S,16S,19R)-19-Amino-7-(2-Amino-2-Keto-Ethyl)-N-[2-[[(1S)-1-[(2-Amino-2-Keto-Ethyl)Carbamoyl]-3-Methyl-Butyl]Amino]-2-Keto-Ethyl]-10-(3-Amino-3-Keto-Propyl)-16-(4-Hydroxybenzyl)-6,9,12,15,18-Pentaketo-13-Sec-Butyl-1,2-Dithia-5,8,11,14,17-Pentazacycloicosane-4-Carboxamide
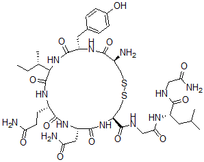
Molecular Structure CAS#: 19748-53-9, Gly(7)-Oxytocin
Molecular Formula C40H62N12O12S2
Molecular Weight 967.12
CAS Registry Number 19748-53-9
SMILES [C@H]1(NC(=O)C(NC(=O)[C@@H](NC(=O)[C@@H](N)CSSC[C@H](NC(=O)[C@@H](NC1=O)CC(=O)N)C(=O)NCC(=O)N[C@H](C(=O)NCC(=O)N)CC(C)C)CC2=CC=C(O)C=C2)[C@H](CC)C)CCC(=O)N
InChI 1S/C40H62N12O12S2/c1-5-20(4)33-40(64)48-24(10-11-29(42)54)37(61)50-27(14-30(43)55)38(62)51-28(36(60)46-16-32(57)47-25(12-19(2)3)35(59)45-15-31(44)56)18-66-65-17-23(41)34(58)49-26(39(63)52-33)13-21-6-8-22(53)9-7-21/h6-9,19-20,23-28,33,53H,5,10-18,41H2,1-4H3,(H2,42,54)(H2,43,55)(H2,44,56)(H,45,59)(H,46,60)(H,47,57)(H,48,64)(H,49,58)(H,50,61)(H,51,62)(H,52,63)/t20-,23-,24-,25-,26-,27-,28-,33?/m0/s1
InChIKey RFRDFBYIYZCKTO-AGDWTCHZSA-N
Properties
Density 1.265g/cm3 (Cal.)
Boiling point 1550.6°C at 760 mmHg (Cal.)
Flash point 891.571°C (Cal.)
Market Analysis Reports
Related Products
Glyoxal Mono-di...  Glyoxal Sodium ...  Glyoxal Sodium ...  Glyoxal trimer ...  Glyoxime;N-[(E)...  Glyoxylic acid;...  Glyoxylic Acid ...  Glyoxylic acid ...  3-Glyoxyloyl-2-...  Glyoxylylspermi...  Glyparamide;Ben...  H-Gly-Phe-Gln-G...  H-GLY-PHE-LEU-O...  H-Gly-D-Phe-OH;...  Glyphosate;(Car...  Glyphosate-2-13...  Glyphosate-ammo...  Glyphosate-diam...  Glyphosate isop...  Glyphosate-sodi...