Online Database of Chemicals from Around the World

Tetramethyl 1,3,3,5-Pentanetetracarboxylate
[CAS 19766-36-0]

Suppliers
Ryan Scientific, Inc. USA
+1 (843)-884-4911
sales@ryansci.com
Chemical manufacturer
Identification
Name Tetramethyl 1,3,3,5-Pentanetetracarboxylate
Synonyms 1,3,3,5-Pentanetetracarboxylic acid, 1,3,3,5-tetramethyl ester; CDS1_000242; DivK1c_001282
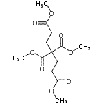
Molecular Structure CAS#: 19766-36-0, Tetramethyl 1,3,3,5-Pentanetetracarboxylate
Molecular Formula C13H20O8
Molecular Weight 304.29
CAS Registry Number 19766-36-0
SMILES O=C(OC)CCC(C(=O)OC)(C(=O)OC)CCC(=O)OC
InChI 1S/C13H20O8/c1-18-9(14)5-7-13(11(16)20-3,12(17)21-4)8-6-10(15)19-2/h5-8H2,1-4H3
InChIKey ALZAGONSRCGXFO-UHFFFAOYSA-N
Properties
Density 1.184g/cm3 (Cal.)
Boiling point 331.529°C at 760 mmHg (Cal.)
Flash point 140.461°C (Cal.)
Refractive index 1.452 (Cal.)
Market Analysis Reports
Related Products
2,6,10,14-Tetra...  2,6,10,14-Tetra...  2,6,10,14-Tetra...  N,N,1,1-Tetrame...  2,2,4,4-Tetrame...  2,2,4,4-Tetrame...  2,2,3,4-Tetrame...  2,3,3,4-Tetrame...  2,2,3,3-Tetrame...  N,N,N,N-Tetrame...  2,2,4,4-Tetrame...  1,1',1''-(1,1,3...  2,2,4,4-Tetrame...  2,2,4,4-Tetrame...  2,2,4,4-Tetrame...  2,2,4,4-Tetrame...  3,3,4,4-Tetrame...  1-(2,2,4,4-Tetr...  4,7,10,13-Tetra...  1,5,10,10-Tetra...