| Fluorochem Ltd. | UK | |||
|---|---|---|---|---|
![]() |
+44 (1457) 860-111 | |||
![]() |
enquiries@fluorochem.co.uk | |||
| Chemical manufacturer | ||||
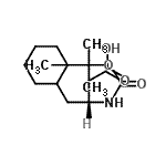
| Name | (3R)-3-(Tert-Butoxycarbonylamino)-4-Cyclohexyl-Butanoic Acid |
|---|---|
| Synonyms | (R)-3-(tert-butoxycarbonylamino)-4-cyclohexylbutanoic acid; (R)-3-tert-Butoxycarbonylamino-4-cyclohexylbutyric; (R)-3-tert-Butoxycarbonylamino-4-cyclohexylbutyric acid |
| Molecular Structure | ![]() |
| Molecular Formula | C15H27NO4 |
| Molecular Weight | 285.38 |
| CAS Registry Number | 210711-44-7 |
| SMILES | OC(=O)C[C@H](NC(=O)OC(C)(C)C)CC1CCCCC1 |
| InChI | 1S/C15H27NO4/c1-15(2,3)20-14(19)16-12(10-13(17)18)9-11-7-5-4-6-8-11/h11-12H,4-10H2,1-3H3,(H,16,19)(H,17,18)/t12-/m1/s1 |
| InChIKey | FIBAFRJLUXGPPW-GFCCVEGCSA-N |
| Density | 1.069g/cm3 (Cal.) |
|---|---|
| Boiling point | 436.668°C at 760 mmHg (Cal.) |
| Flash point | 217.889°C (Cal.) |
| Refractive index | 1.483 (Cal.) |
| Market Analysis Reports |