| Creative Peptides | USA | |||
|---|---|---|---|---|
![]() | www.creative-peptides.com | |||
![]() | +1 (631) 624-4882 | |||
![]() | +1 (631) 614-7828 | |||
![]() | info@creative-peptides.com | |||
| Chemical manufacturer | ||||
| chemBlink Standard supplier since 2010 | ||||
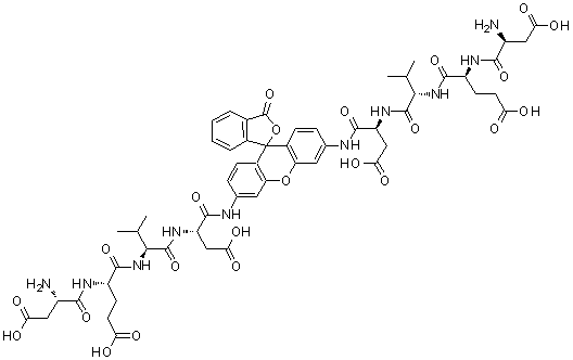
| Name | 4,4'-(3-Oxospiro[isobenzofuran-1(3H),9'-[9H]xanthene]-3',6'-diyl)bis[L-alpha-aspartyl-L-alpha-glutamyl-L-valyl-L-alpha-asparagine] |
|---|---|
| Molecular Structure | ![]() |
| Molecular Formula | C56H66N10O23 |
| Molecular Weight | 1247.18 |
| CAS Registry Number | 220846-75-3 |
| Solubility | Practically insoluble (0.047 g/L) (25 °C), Calc.* |
|---|---|
| Density | 1.56±0.1 g/cm3 (20 °C 760 Torr), Calc.* |
| * | Calculated using Advanced Chemistry Development (ACD/Labs) Software V11.02 (©1994-2016 ACD/Labs) |
| Market Analysis Reports |