| Alfa Chemistry | USA | |||
|---|---|---|---|---|
![]() |
+1 (201) 478-8534 | |||
![]() |
inquiry@alfa-chemistry.com | |||
| Chemical distributor since 2012 | ||||
| chemBlink standard supplier since 2012 | ||||
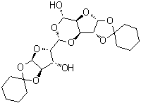
| Name | 1,2-O-Cyclohexylidene-alpha-D-Xylopentodialdo-1,4-Furanose Dimer |
|---|---|
| Molecular Structure | ![]() |
| Molecular Formula | C22H32O10 |
| Molecular Weight | 456.49 |
| CAS Registry Number | 22250-05-1 |
| SMILES | [C@H]17[C@H](O[C@H]2[C@@H]1OC3(O2)CCCCC3)[C@H](O[C@@H]([C@H]4O[C@H]5[C@@H]([C@H]4O)OC6(O5)CCCCC6)O7)O |
| InChI | 1S/C22H32O10/c23-11-12(25-19-13(11)29-21(31-19)7-3-1-4-8-21)18-26-14-15(17(24)28-18)27-20-16(14)30-22(32-20)9-5-2-6-10-22/h11-20,23-24H,1-10H2/t11-,12-,13+,14-,15-,16+,17-,18-,19+,20+/m0/s1 |
| InChIKey | BVWIFAPSAXFBRR-DTXAZLFXSA-N |
| Density | 1.48g/cm3 (Cal.) |
|---|---|
| Boiling point | 663.148°C at 760 mmHg (Cal.) |
| Flash point | 354.859°C (Cal.) |
| Market Analysis Reports |