| Achemica | Switzerland | |||
|---|---|---|---|---|
![]() |
+41 (24) 466-2929 | |||
![]() |
contact@achemica.com | |||
| Chemical manufacturer since 2010 | ||||
| Ryan Scientific, Inc. | USA | |||
|---|---|---|---|---|
![]() |
+1 (843)-884-4911 | |||
![]() |
sales@ryansci.com | |||
| Chemical manufacturer | ||||
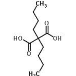
| Name | Dibutylmalonic Acid |
|---|---|
| Synonyms | 2,2-dibutylpropanedioic acid; InChI=1/C |
| Molecular Structure | ![]() |
| Molecular Formula | C11H20O4 |
| Molecular Weight | 216.27 |
| CAS Registry Number | 2283-16-1 |
| SMILES | CCCCC(CCCC)(C(=O)O)C(=O)O |
| InChI | rd-copy-button" onmouseover="ClipboardCopyInit(this, |
| Density | 1.1±0.1g/cm3 (Cal.) |
|---|---|
| Boiling point | 370.6±25.0°C at 760 mmHg (Cal.) |
| Flash point | 192.1±19.7°C (Cal.) |
| Refractive index | 1.475 (Cal.) |
| Market Analysis Reports |