| Achemica | Switzerland | |||
|---|---|---|---|---|
![]() |
+41 (24) 466-2929 | |||
![]() |
contact@achemica.com | |||
| Chemical manufacturer since 2010 | ||||
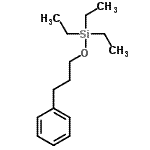
| Name | Triethyl(3-Phenylpropoxy)Silane |
|---|---|
| Synonyms | 3-Phenylpropyl triethylsilyl ether # |
| Molecular Structure | ![]() |
| Molecular Formula | C15H26OSi |
| Molecular Weight | 250.45 |
| CAS Registry Number | 2290-40-6 |
| SMILES | O(CCCc1ccccc1)[Si](CC)(CC)CC |
| InChI | 1S/C15H26OSi/c1-4-17(5-2,6-3)16-14-10-13-15-11-8-7-9-12-15/h7-9,11-12H,4-6,10,13-14H2,1-3H3 |
| InChIKey | VRWGPADVKJBOHI-UHFFFAOYSA-N |
| Density | 0.895g/cm3 (Cal.) |
|---|---|
| Boiling point | 299.362°C at 760 mmHg (Cal.) |
| Flash point | 133.57°C (Cal.) |
| Refractive index | 1.474 (Cal.) |
| Market Analysis Reports |