Online Database of Chemicals from Around the World

Tetrakis[2-(2-methoxyethoxy)ethyl] silicate
[CAS 24685-89-0]

List of Suppliers
Win-Win Chemical Co., Ltd. China
www.win-winchemical.com
+86 (577) 6449-8589
+86 15325081899
+86 (577) 5699-4596
sales@win-winchemical.com
winwinchemical@gmail.com
QQ Chat
Skype Chat
Chemical manufacturer since 2007
chemBlink Standard supplier since 2011

Identification
ClassificationChemical reagent >> Silane reagent
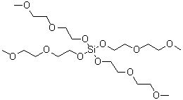
NameTetrakis[2-(2-methoxyethoxy)ethyl] silicate
SynonymsC 4-2117
Molecular StructureTetrakis[2-(2-methoxyethoxy)ethyl] silicate molecular structure (CAS 24685-89-0)
Molecular FormulaC20H44O12Si
Molecular Weight504.64
CAS Registry Number24685-89-0
EC Number246-406-3
Properties
SolubilitySlightly soluble (2.4 g/L) (25 °C), Calc.*
Density1.090 g/cm3**
Refractive index1.4395**
*Calculated using Advanced Chemistry Development (ACD/Labs) Software V11.02 (©1994-2018 ACD/Labs)
**"Metal-Organics Catalog" physical property data were obtained from Gelest, Inc. of Morrisville, Pennsylvania (US)
Safety Data
Hazard Classification
up    Details
HazardClassCategory CodeHazard Statement
Eye irritationEye Irrit.2H319
Specific target organ toxicity - single exposureSTOT SE3H335
Skin irritationSkin Irrit.2H315
Market Analysis Reports
Related Products
N,N,N',N'-Tetra...  N,N',N'',N'''-T...  tetrakis(imidaz...  1,3,5,7-Tetraki...  Tetrakis[1-(Iso...  1,2,4,5-Tetraki...  Tetrakis(mercap...  5,11,17,23-Tetr...  [1,2,3,4-Tetrak...  Tetrakis{2-[2-(...  Tetrakis(methox...  1,3,4,6-Tetraki...  1,3,4,6-Tetraki...  N,N,N',N'-Tetra...  Tetrakis(1-Meth...  3,8,13,17-Tetra...  N4,N4,N4',N4'-T...  N4,N4,N4',N4'-T...  1,1,2,2-Tetraki...  Tetrakis(4-meth...