| Carbosynth China Ltd. | China | |||
|---|---|---|---|---|
![]() |
+86 (512) 6260-5585 | |||
![]() |
sales@carbosynth.com | |||
![]() |
QQ Chat | |||
| Chemical manufacturer since 2006 Chemical distributor since 2006 | ||||
| chemBlink massive supplier since 2016 | ||||
| Biosynth AG. | Switzerland | |||
|---|---|---|---|---|
![]() |
+41 (71) 858-2020 | |||
![]() |
welcome@biosynth.ch | |||
| Chemical manufacturer | ||||
| Glentham Life Sciences | UK | |||
|---|---|---|---|---|
![]() |
+44 (2033) 978-798 | |||
![]() |
info@glenthamls.com | |||
| Chemical distributor since 2013 | ||||
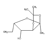
| Name | 6-Hydroxy-2,2-Dimethyl-5-({[(4-Methylphenyl)Sulfonyl]Oxy}Methyl)Dihydrofuro[2,3-d][1,3]Dioxol-3A(5H)-Yl 4-Methylbenzenesulfonate |
|---|---|
| Synonyms | 2,3-O-ISOPROPYLIDENE-1,6-DITOSYL-L-SORBOSE |
| Molecular Structure | ![]() |
| Molecular Formula | C22H26O10S2 |
| Molecular Weight | 514.57 |
| CAS Registry Number | 2484-55-1 |
| SMILES | Cc1ccc(cc1)S(=O)(=O)OCC2C(C3C(O2)(OC(O3)(C)C)OS(=O)(=O)c4ccc(cc4)C)O |
| InChI | 1S/C22H26O10S2/c1-14-5-9-16(10-6-14)33(24,25)28-13-18-19(23)20-22(29-18,31-21(3,4)30-20)32-34(26,27)17-11-7-15(2)8-12-17/h5-12,18-20,23H,13H2,1-4H3 |
| InChIKey | UEXGDRPQSRYWTD-UHFFFAOYSA-N |
| Density | 1.498g/cm3 (Cal.) |
|---|---|
| Boiling point | 682.692°C at 760 mmHg (Cal.) |
| Flash point | 366.679°C (Cal.) |
| Refractive index | 1.625 (Cal.) |
| Market Analysis Reports |