Online Database of Chemicals from Around the World

(4E)-5-(5-Ethoxy-3-Pyridinyl)-N-Methyl-4-Penten-2-Amine
[CAS 252870-59-0]

Suppliers
Atomax Chemicals Co., Ltd. China
+86 13417589054/
info@atomaxchem.com,atomax.chemicals@gmail.com
QQ Chat
Chemical manufacturer
Identification
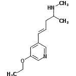
Name (4E)-5-(5-Ethoxy-3-Pyridinyl)-N-Methyl-4-Penten-2-Amine
Synonyms (E)-5-(5-ethoxypyridin-3-yl)-N-methylpent-4-en-2-amine
Molecular Structure CAS#: 252870-59-0, (4E)-5-(5-Ethoxy-3-Pyridinyl)-N-Methyl-4-Penten-2-Amine
Molecular Formula C13H20N2O
Molecular Weight 220.31
CAS Registry Number 252870-59-0
SMILES O(c1cc(cnc1)/C=C/CC(NC)C)CC
InChI 1S/C13H20N2O/c1-4-16-13-8-12(9-15-10-13)7-5-6-11(2)14-3/h5,7-11,14H,4,6H2,1-3H3/b7-5+
InChIKey KJZMFQZAEDAMAE-FNORWQNLSA-N
Properties
Density 0.989g/cm3 (Cal.)
Boiling point 355.282°C at 760 mmHg (Cal.)
Flash point 168.669°C (Cal.)
Refractive index 1.531 (Cal.)
Market Analysis Reports
Related Products
1-[2-Ethoxy-2-(...  1-(2-Ethoxy-3-P...  (E)-N-Ethoxy-1-...  (E)-N-Ethoxy-1-...  2-Ethoxy-N-(Pyr...  2-Ethoxy-N-(Pyr...  2-Ethoxy-N-(Pyr...  (3E)-4-(5-Ethox...  (3E)-4-(5-Ethox...  2-Ethoxy-3-Pyri...  (2R,4E)-5-(5-Et...  1-[(6-Ethoxy-3-...  2-(4-Ethoxy-2-P...  2-[(6-Ethoxy-3-...  4-(2-Ethoxy-4-P...  4-(2-Ethoxy-3-P...  4-(6-Ethoxy-3-P...  4-(3-Ethoxy-4-P...  2-(2-Ethoxypyri...  2-[2-[(2-Ethoxy...