Online Database of Chemicals from Around the World

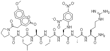
(2S)-N-[(1S)-1-[[(1S)-2-[[(1S)-1-[[(1S)-2-[[(1S)-2-[[(1S)-1-Carbamoyl-4-Guanidino-Butyl]Amino]-1-Methyl-2-Oxo-Ethyl]Amino]-1-[(2,4-Dinitroanilino)Methyl]-2-Oxo-Ethyl]Carbamoyl]Propyl]Amino]-1-Methyl-2-Oxo-Ethyl]Carbamoyl]-3-Methyl-Butyl]-1-[2-(7-Methoxy-2-Oxo-Chromen-4-Yl)Acetyl]Pyrrolidine-2-Carboxamide
[CAS 256394-92-0]

Suppliers
Alfa Chemistry USA
+1 (201) 478-8534
inquiry@alfa-chemistry.com
Chemical distributor since 2012
chemBlink standard supplier since 2012
Creative Peptides USA
+1 (631) 624-4882
info@creative-peptides.com
Chemical manufacturer
chemBlink massive supplier since 2016
Identification
Name (2S)-N-[(1S)-1-[[(1S)-2-[[(1S)-1-[[(1S)-2-[[(1S)-2-[[(1S)-1-Carbamoyl-4-Guanidino-Butyl]Amino]-1-Methyl-2-Oxo-Ethyl]Amino]-1-[(2,4-Dinitroanilino)Methyl]-2-Oxo-Ethyl]Carbamoyl]Propyl]Amino]-1-Methyl-2-Oxo-Ethyl]Carbamoyl]-3-Methyl-Butyl]-1-[2-(7-Methoxy-2-Oxo-Chromen-4-Yl)Acetyl]Pyrrolidine-2-Carboxamide
Synonyms Mca-Pro-Leu-Ala-Nva-Dap(Dnp)-Ala-Arg-NH2
Molecular Structure CAS#: 256394-92-0, (2S)-N-[(1S)-1-[[(1S)-2-[[(1S)-1-[[(1S)-2-[[(1S)-2-[[(1S)-1-Carbamoyl-4-Guanidino-Butyl]Amino]-1-Methyl-2-Oxo-Ethyl]Amino]-1-[(2,4-Dinitroanilino)Methyl]-2-Oxo-Ethyl]Carbamoyl]Propyl]Amino]-1-Methyl-2-Oxo-Ethyl]Carbamoyl]-3-Methyl-Butyl]-1-[2-(7-Methoxy-2-Oxo-Chromen-4-Yl)Acetyl]Pyrrolidine-2-Carboxamide
Molecular Formula C48H66N14O15
Molecular Weight 1079.12
CAS Registry Number 256394-92-0
SMILES CC[C@@H](C(=O)N[C@@H](CNc1ccc(cc1[N+](=O)[O-])[N+](=O)[O-])C(=O)N[C@@H](C)C(=O)N[C@@H](CCCNC(=N)N)C(=O)N)NC(=O)[C@H](C)NC(=O)[C@H](CC(C)C)NC(=O)[C@@H]2CCCN2C(=O)Cc3cc(=O)oc4c3ccc(c4)OC
InChI 1S/C48H66N14O15/c1-7-31(44(68)59-35(23-53-32-15-12-28(61(72)73)21-37(32)62(74)75)46(70)55-26(5)43(67)57-33(41(49)65)10-8-16-52-48(50)51)56-42(66)25(4)54-45(69)34(18-24(2)3)58-47(71)36-11-9-17-60(36)39(63)19-27-20-40(64)77-38-22-29(76-6)13-14-30(27)38/h12-15,20-22,24-26,31,33-36,53H,7-11,16-19,23H2,1-6H3,(H2,49,65)(H,54,69)(H,55,70)(H,56,66)(H,57,67)(H,58,71)(H,59,68)(H4,50,51,52)/t25-,26-,31-,33-,34-,35-,36-/m0/s1
InChIKey DYDYFAWKKWLFGJ-JSWDBWGRSA-N
Protein Sequence Mca-Pro-Leu-Ala-Nva-Dap(Dnp)-Ala-Arg-NH2
Properties
Density 1.499g/cm3 (Cal.)
Refractive index 1.668 (Cal.)
Market Analysis Reports
Related Products
(3-Carbamoyl-5-...  (3-Carbamoyl-4-...  4-Carbamoyl-3-f...  (4-Carbamoyl-2-...  4-Carbamoyl-4-f...  N-Carbamoylform...  N5-C...  4'-Carbamoyl-2-...  N-Carbamoylglut...  Carbamoylguanid...  4-Carbamoyl-1-N...  2-Carbamoylhexa...  N-Carbamoylhexo...  N-Carbamoyl-D-h...  2-(2-Carbamoylh...  [5-(Carbamoylhy...  N-[(2S)-1-(2-Ca...  3-[Carbamoyl(Hy...  {2-[Carbamoyl(H...  5-Carbamoyl-2-H...