Online Database of Chemicals from Around the World

Rifamycin L
[CAS 26117-02-2]

Suppliers
CAS#: 26117-02-2
Product: Rifamycin L
No suppilers available for the product.
Identification
Name Rifamycin L
Synonyms Rifamycin, 4-(Hydroxyacetate)
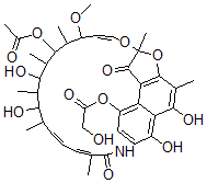
Molecular Structure CAS#: 26117-02-2, Rifamycin L
Molecular Formula C39H49NO14
Molecular Weight 755.81
CAS Registry Number 26117-02-2
SMILES C(O)C(OC1=C2C4=C3OC(O/C=C/C(OC)C(C(OC(=O)C)C(C(O)C(C(O)C(C)\C=C\C=C(C(=O)NC(=C1)C(=C2C(=C3C)O)O)\C)C)C)C)(C4=O)C)=O
InChI 1S/C39H49NO14/c1-17-11-10-12-18(2)38(49)40-24-15-26(53-27(43)16-41)28-29(34(24)47)33(46)22(6)36-30(28)37(48)39(8,54-36)51-14-13-25(50-9)19(3)35(52-23(7)42)21(5)32(45)20(4)31(17)44/h10-15,17,19-21,25,31-32,35,41,44-47H,16H2,1-9H3,(H,40,49)/b11-10+,14-13+,18-12-
InChIKey OCUBKDJIPNISSD-NISGPDFNSA-N
Market Analysis Reports
Related Products
Rifamexil;D0255...  Rifampicin;3-[[...  Rifampicin Af 0...  Rifampicin-d3;[...  Rifampicin EP I...  Rifampicin Quin...  Rifamycin B  Rifamycin B die...  Rifamycin B eth...  Rifamycin B iso...  Rifamycin O;[(2...  Rifamycin P  Rifamycin Q;Rif...  Rifamycin S;1,4...  Rifamycin sodiu...  Rifamycin Sv;Mo...  Rifamycin Verde  Rifamycin W  Rifandin;Brn 10...  Rifandin;3-[[[4...