| Alfa Chemistry | USA | |||
|---|---|---|---|---|
![]() | www.alfa-chemistry.com | |||
![]() | +1 (201) 478-8534 | |||
![]() | +1 (516) 927-0118 | |||
![]() | inquiry@alfa-chemistry.com | |||
| Chemical distributor since 2012 | ||||
| chemBlink Standard supplier since 2012 | ||||
| Classification | Organic raw materials >> Heterocyclic compound >> Triazines |
|---|---|
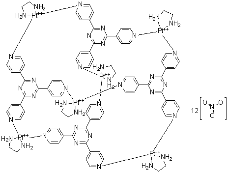
| Name | Hexakis(1,2-ethanediamine)tetrakis[mu3-[2,4,6-tri(4-pyridinyl)-1,3,5-triazine]]hexaplatinum dodecanitrate |
| Molecular Structure | ![]() |
| Molecular Formula | C84H96N36Pt6.12(NO3) |
| Molecular Weight | 3524.47 |
| CAS Registry Number | 262354-73-4 |
| Market Analysis Reports |