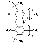
Identification
| Name |
2,2'-Sulfanediylbis[3-Methyl-4,6-Bis(2-Methyl-2-Propanyl)Phenol] |
| Synonyms |
2,2'-thiobis[4,6-di-tert-butyl-m-cresol] |
|
| Molecular Structure |
![CAS#: 26411-30-3, 2,2'-Sulfanediylbis[3-Methyl-4,6-Bis(2-Methyl-2-Propanyl)Phenol]](/moreStructures/26411-30-3.gif) |
| Molecular Formula |
C30H46O2S |
| Molecular Weight |
470.75 |
| CAS Registry Number |
26411-30-3 |
| EINECS |
247-680-7 |
| SMILES |
CC(C)(C)c2cc(c(O)c(Sc1c(C)c(cc(c1O)C(C)(C)C)C(C)(C)C)c2C)C(C)(C)C |
| InChI |
1S/C30H46O2S/c1-17-19(27(3,4)5)15-21(29(9,10)11)23(31)25(17)33-26-18(2)20(28(6,7)8)16-22(24(26)32)30(12,13)14/h15-16,31-32H,1-14H3 |
| InChIKey |
CIYZCKSPWRANFK-UHFFFAOYSA-N |
|