|
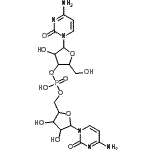
CAS#: 27552-98-3 Product: [5-(4-Amino-2-Oxo-Pyrimidin-1-Yl)-3,4-Dihydroxy-Tetrahydrofuran-2-Yl]Methyl [5-(4-Amino-2-Oxo-Pyrimidin-1-Yl)-4-Hydroxy-2-(Hydroxymethyl)Tetrahydrofuran-3-Yl] Hydrogen Phosphate No suppilers available for the product. |
| Name | [5-(4-Amino-2-Oxo-Pyrimidin-1-Yl)-3,4-Dihydroxy-Tetrahydrofuran-2-Yl]Methyl [5-(4-Amino-2-Oxo-Pyrimidin-1-Yl)-4-Hydroxy-2-(Hydroxymethyl)Tetrahydrofuran-3-Yl] Hydrogen Phosphate |
|---|---|
| Synonyms | cytidylyl-(3'-->5')-cytidine; CYTIDYLYL-(3'5')-CYTIDINE; Phosphori |
| Molecular Structure | ![]() |
| Molecular Formula | C18H25N6O12P |
| Molecular Weight | 548.40 |
| CAS Registry Number | 27552-98-3 |
| EINECS | 248-521-4 |
| SMILES | O=C1/N=C(/N)\C=C/N1C2OC(C(O)C2O)COP(=O)(O)OC4C(OC(N/3C(=O)/N=C(/N)\C=C\3)C4O)CO |
| InChI | 1S/C18H25N6O12P/c19-9-1-3-23(17(29)21-9)15-12(27)11(26)8(35-15)6-33-37(31,32)36-14-7(5-25)34-16(13(14)28)24-4-2-10(20)22-18(24)30/h1-4,7-8,11-16,25-28H,5-6H2,(H,31,32)(H2,19,21,29)(H2,20,22,30) |
| InChIKey | PTLMIIUMLITBQT-UHFFFAOYSA-N |
| Density | 2.134g/cm3 (Cal.) |
|---|---|
| Boiling point | 905.804°C at 760 mmHg (Cal.) |
| Flash point | 501.612°C (Cal.) |
| Refractive index | 1.825 (Cal.) |
| Market Analysis Reports |