| SL Drugs and Pharmaceuticals Pvt. Ltd. | India | |||
|---|---|---|---|---|
![]() | www.sldrugs.com | |||
![]() | +91 (40) 6661-1133 | |||
![]() | +91 (40) 2375-1130 | |||
![]() | enquiry@sldrugs.com | |||
| Chemical distributor since 1999 | ||||
| chemBlink Standard supplier since 2010 | ||||
| Glentham Life Sciences | UK | |||
|---|---|---|---|---|
![]() | www.glenthamls.com | |||
![]() | +44 (2033) 978-798 | |||
![]() | +44 (2033) 978-909 | |||
![]() | info@glenthamls.com | |||
| Chemical distributor since 2013 | ||||
| chemBlink Standard supplier since 2013 | ||||
| Biosynth AG. | Switzerland | |||
|---|---|---|---|---|
![]() | www.biosynth.com | |||
![]() | +41 (71) 858-2020 | |||
![]() | +41 (71) 858-2030 | |||
![]() | welcome@biosynth.ch | |||
| Chemical manufacturer | ||||
| chemBlink Standard supplier since 2014 | ||||
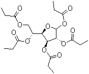
| Classification | Biochemical >> Carbohydrate >> Monosaccharide |
|---|---|
| Name | 1,2,3,5,6-Penta-O-propanoyl-D-glucofuranose |
| Molecular Structure | ![]() |
| Molecular Formula | C21H32O11 |
| Molecular Weight | 460.47 |
| CAS Registry Number | 307531-77-7 |
| Market Analysis Reports |