Online Database of Chemicals from Around the World

2-Propenoic acid polymer with butyl 2-propenoate, chloroethene and ethenyl acetate
[CAS 30938-41-1]

Suppliers
CAS#: 30938-41-1
Product: 2-Propenoic acid polymer with butyl 2-propenoate, chloroethene and ethenyl acetate
No suppilers available for the product.
Identification
Name 2-Propenoic acid polymer with butyl 2-propenoate, chloroethene and ethenyl acetate
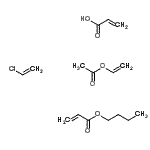
Molecular Structure CAS#: 30938-41-1, 2-Propenoic acid polymer with butyl 2-propenoate, chloroethene and ethenyl acetate
Molecular Formula C16H25ClO6
Molecular Weight 348.82
CAS Registry Number 30938-41-1
SMILES O=C(OCCCC)\C=C.Cl\C=C.O=C(O\C=C)C.O=C(O)\C=C
InChI 1S/C7H12O2.C4H6O2.C3H4O2.C2H3Cl/c1-3-5-6-9-7(8)4-2;1-3-6-4(2)5;1-2-3(4)5;1-2-3/h4H,2-3,5-6H2,1H3;3H,1H2,2H3;2H,1H2,(H,4,5);2H,1H2
InChIKey QKDODFATVXBMPV-UHFFFAOYSA-N
Properties
Boiling point 145.9°C at 760 mmHg (Cal.)
Flash point 39.4°C (Cal.)
Market Analysis Reports
Related Products
2-Propenoic aci...  2-Propenoic Aci...  2-Propenoic Aci...  2-Propenoic Aci...  2-Propenoic Aci...  2-Propenoic Aci...  2-Propenoic Aci...  2-Propenoic Aci...  2-Propenoic Aci...  2-Propenoic Aci...  2-Propenoic Aci...  2-Propenoic Aci...  2-Propenoic Aci...  2-Propenoic Aci...  2-Propenoic Aci...  2-Propenoic Aci...  2-Propenoic Aci...  2-Propenoic Aci...  2-Propenoic Aci...  2-Propenoic Aci...