Online Database of Chemicals from Around the World

3-(4-Methyl-1-Piperazinyl)Propyl 2,2-Dimethylpentanoate
[CAS 32041-69-3]

Suppliers
Achemica Switzerland
+41 (24) 466-2929
contact@achemica.com
Chemical manufacturer since 2010
Identification
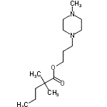
Name 3-(4-Methyl-1-Piperazinyl)Propyl 2,2-Dimethylpentanoate
Molecular Structure CAS#: 32041-69-3, 3-(4-Methyl-1-Piperazinyl)Propyl 2,2-Dimethylpentanoate
Molecular Formula C15H30N2O2
Molecular Weight 270.41
CAS Registry Number 32041-69-3
SMILES O=C(OCCCN1CCN(CC1)C)C(C)(C)CCC
InChI 1S/C15H30N2O2/c1-5-7-15(2,3)14(18)19-13-6-8-17-11-9-16(4)10-12-17/h5-13H2,1-4H3
InChIKey GXPVODYJUKTVEI-UHFFFAOYSA-N
Properties
Density 0.96g/cm3 (Cal.)
Boiling point 349.829°C at 760 mmHg (Cal.)
Flash point 165.371°C (Cal.)
Market Analysis Reports
Related Products
2-Methyl-1-(1-P...  2-Methyl-1-pipe...  1-(4-Methylpipe...  2-Methyl-1-(1-P...  3-(4-Methyl-Pip...  3-(4-Methyl-Pip...  2-[3-(4-Methyl-...  3-[3-(4-Methyl-...  2-[3-(4-Methylp...  [4-[[[3-(4-Meth...  3-(4-Methylpipe...  N-[3-(4-Methyl-...  N-(3-(4-Methyl-...  [3-(4-Methyl-1-...  10-[3-(4-Methyl...  10-[3-(4-Methyl...  1-[10-[3-(4-Met...  1-(10-(3-(4-Met...  3-(4-Methyl-1-P...  N-[3-(4-Methylp...