| Carbosynth China Ltd. | China | |||
|---|---|---|---|---|
![]() | www.carbosynth.cn | |||
![]() | +86 (512) 6260-5585 | |||
![]() | +86 (512) 6260-5576 | |||
![]() | sales@carbosynth.com | |||
![]() | QQ Chat | |||
| Chemical manufacturer since 2006 | ||||
| chemBlink Standard supplier since 2016 | ||||
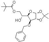
| Name | 1,2-O-(1-Methylethylidene)-3-O-(phenylmethyl)-alpha-D-glucofuranose 6-(2,2-dimethylpropanoate) |
|---|---|
| Molecular Structure | ![]() |
| Molecular Formula | C21H30O7 |
| Molecular Weight | 394.46 |
| CAS Registry Number | 321380-09-0 |
| Solubility | Very slightly soluble (0.22 g/L) (25 °C), Calc.* |
|---|---|
| Density | 1.20±0.1 g/cm3 (20 °C 760 Torr), Calc.* |
| Melting point | 99-101 °C (ethyl acetate hexane )** |
| * | Calculated using Advanced Chemistry Development (ACD/Labs) Software V11.02 (©1994-2016 ACD/Labs) |
| ** | Csiki, Zsuzsanna |
| Market Analysis Reports |