| Alfa Chemistry | USA | |||
|---|---|---|---|---|
![]() |
+1 (201) 478-8534 | |||
![]() |
inquiry@alfa-chemistry.com | |||
| Chemical distributor since 2012 | ||||
| chemBlink standard supplier since 2012 | ||||
| BOC Sciences | USA | |||
|---|---|---|---|---|
![]() |
+1 (631) 485-4226 | |||
![]() |
info@bocsci.com | |||
![]() |
Skype Chat | |||
| Chemical distributor | ||||
| chemBlink massive supplier since 2012 | ||||
| Dr. Silviu Pharmachem Pvt. Ltd | India | |||
|---|---|---|---|---|
![]() |
+91 (20) 6510-4672 | |||
![]() |
anil.bhise@silviupharmachem.com | |||
| Chemical manufacturer | ||||
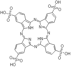
| Name | 29H,29H,31H-Phthalocyanine-C,C,C,C-Tetrasulfonic Acid |
|---|---|
| Molecular Structure | ![]() |
| CAS Registry Number | 33308-41-7 |
| Market Analysis Reports |