| Capot Chemical Co., Ltd. | China | |||
|---|---|---|---|---|
![]() | www.capotchem.com | |||
![]() | +86 (571) 8558-6718 +86 13336195806 | |||
![]() | +86 (571) 8586-4795 | |||
![]() | capotchem@gmail.com sales@capotchem.com | |||
![]() | QQ Chat | |||
| Chemical manufacturer | ||||
| chemBlink Standard supplier since 2006 | ||||
| BrightGene Bio-medical Technology Co., Ltd. | China | |||
|---|---|---|---|---|
![]() | www.bright-gene.com | |||
![]() | +86 (512) 6255-1801 6255-1767 +86 13812696362 | |||
![]() | +86 (512) 6255-1799 | |||
![]() | kevinwan@bright-gene.com kevinwan0203@gmail.com | |||
![]() | QQ Chat | |||
![]() | Skype Chat | |||
| Chemical manufacturer since 2001 | ||||
| chemBlink Standard supplier since 2009 | ||||
| Beijing Eagle Sky Pharmatech Co., Ltd. | China | |||
|---|---|---|---|---|
![]() | www.eagleskypharmatech.com | |||
![]() | +86 (10) 5979-9429 8875-5821 | |||
![]() | +86 (10) 5804-3698 | |||
![]() | sophia_818@126.com contact@eagleskypharmatech.com | |||
![]() | QQ Chat | |||
| Chemical manufacturer since 2009 | ||||
| chemBlink Standard supplier since 2010 | ||||
| BOC Sciences | USA | |||
|---|---|---|---|---|
![]() | www.bocsci.com | |||
![]() | +1 (631) 485-4226 | |||
![]() | +1 (631) 614-7828 | |||
![]() | info@bocsci.com | |||
| Chemical manufacturer | ||||
| chemBlink Standard supplier since 2010 | ||||
| Santai Labs, Inc. | China | |||
|---|---|---|---|---|
![]() | www.santailabs.com | |||
![]() | +86 (519) 8560-1385 | |||
![]() | +86 (519) 8560-1389 | |||
![]() | marketing@santailabs.com | |||
| Chemical manufacturer since 2009 | ||||
| chemBlink Standard supplier since 2011 | ||||
| Changzhou Yuanda Pharmaceutical Chemical Co., Ltd. | China | |||
|---|---|---|---|---|
![]() | www.ydpharm.com | |||
![]() | +86 (519) 8398-4084 +86 13776846168 | |||
![]() | +86 (519) 8398-4085 | |||
![]() | sales@ydpharm.com | |||
![]() | QQ Chat | |||
| Chemical manufacturer since 2012 | ||||
| chemBlink Standard supplier since 2014 | ||||
| Hangzhou Leap Chem Co., Ltd. | China | |||
|---|---|---|---|---|
![]() | www.leapchem.com | |||
![]() | +86 (571) 8771-1850 | |||
![]() | market19@leapchem.com | |||
![]() | QQ Chat | |||
| Chemical manufacturer since 2006 | ||||
| chemBlink Standard supplier since 2015 | ||||
| Amadis Chemical Co., Ltd. | China | |||
|---|---|---|---|---|
![]() | www.amadischem.com | |||
![]() | +86 (571) 8992-5085 | |||
![]() | +86 (571) 8992-5065 | |||
![]() | sales@amadischem.com | |||
| Chemical manufacturer since 2010 | ||||
| chemBlink Standard supplier since 2015 | ||||
| Sphinx Scientific Laboratory (Tianjin) Co., Ltd. | China | |||
|---|---|---|---|---|
![]() | www.sphinxpharm.com | |||
![]() | +86 (22) 6621-1289 ex 818 | |||
![]() | +86 (22) 6621-1370 | |||
![]() | lilh@sphinxpharm.com | |||
![]() | QQ Chat | |||
| Chemical manufacturer since 2009 | ||||
| chemBlink Standard supplier since 2017 | ||||
| Hangzhou Cyanochem Co., Ltd. | China | |||
|---|---|---|---|---|
![]() | www.cyanochem.com | |||
![]() | +86 (571) 8522-0831 +86 17788583750 | |||
![]() | +86 (571) 8522-0831 | |||
![]() | info@cyanochem.com | |||
![]() | QQ Chat | |||
![]() | Skype Chat | |||
| Chemical manufacturer since 2017 | ||||
| chemBlink Standard supplier since 2018 | ||||
| Chengdu Novel Biomedical Co., Ltd. | China | |||
|---|---|---|---|---|
![]() | www.cd-novel.com | |||
![]() | +86 (28) 8525-5396 | |||
![]() | +86 (28) 8525-5396 | |||
![]() | 1804765996@qq.com | |||
| Chemical manufacturer since 2013 | ||||
| chemBlink Standard supplier since 2018 | ||||
| Nanjing Sinfoo Technology Co., | China | |||
|---|---|---|---|---|
![]() | www.sinfoobiotech.com | |||
![]() | +86 15380750425 | |||
![]() | sales@sinfoobiotech.com | |||
| Chemical distributor since 2017 | ||||
| chemBlink Standard supplier since 2020 | ||||
| Shandong Chenghui Shuangda Pharmaceutical Co., Ltd. | China | |||
|---|---|---|---|---|
![]() | www.chsdpharma.com | |||
![]() | +86-531-58897029 | |||
![]() | ericqiao@jnchsd.com | |||
![]() | QQ Chat | |||
![]() | WeChat: 15550412551 | |||
![]() | WhatsApp:15550412551 | |||
| Chemical manufacturer since 2014 | ||||
| chemBlink Standard supplier since 2025 | ||||
| Classification | API >> Other chemicals |
|---|---|
| Name | Sugammadex sodium |
| Synonyms | Org 25969 |
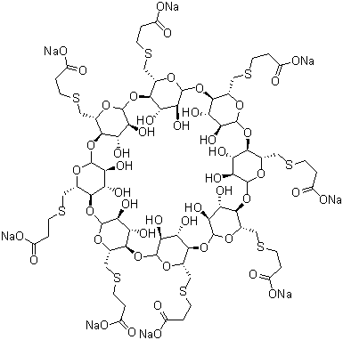
| Molecular Structure | ![]() |
| Molecular Formula | C72H104O48S8.8Na |
| Molecular Weight | 2178.01 |
| CAS Registry Number | 343306-79-6 |
| EC Number | 608-974-4 |
| SMILES | C(CSC[C@@H]1[C@@H]2[C@@H]([C@H]([C@H](O1)O[C@@H]3[C@H](O[C@@H]([C@@H]([C@H]3O)O)O[C@@H]4[C@H](O[C@@H]([C@@H]([C@H]4O)O)O[C@@H]5[C@H](O[C@@H]([C@@H]([C@H]5O)O)O[C@@H]6[C@H](O[C@@H]([C@@H]([C@H]6O)O)O[C@@H]7[C@H](O[C@@H]([C@@H]([C@H]7O)O)O[C@@H]8[C@H](O[C@@H]([C@@H]([C@H]8O)O)O[C@@H]9[C@H](O[C@H](O2)[C@@H]([C@H]9O)O)CSCCC(=O)[O-])CSCCC(=O)[O-])CSCCC(=O)[O-])CSCCC(=O)[O-])CSCCC(=O)[O-])CSCCC(=O)[O-])CSCCC(=O)[O-])O)O)C(=O)[O-].[Na+].[Na+].[Na+].[Na+].[Na+].[Na+].[Na+].[Na+] |
| Solubility | 2 mg/mL (water) |
|---|---|
| Hazard Symbols | |||||||||||||
|---|---|---|---|---|---|---|---|---|---|---|---|---|---|
| Risk Statements | H302 Details | ||||||||||||
| Safety Statements | P264-P270-P301+P317-P330-P501 Details | ||||||||||||
| Hazard Classification | |||||||||||||
| |||||||||||||
| SDS | Available | ||||||||||||
|
Sugammadex sodium is a selective relaxant binding agent that is used in clinical practice to reverse the effects of certain muscle relaxants, specifically aminosteroid-based neuromuscular blocking agents. This compound is a modified cyclodextrin that is capable of encapsulating the muscle relaxants, thus preventing them from interacting with their targets and reversing their paralytic effects. Sugammadex sodium has gained significant attention due to its rapid onset and high efficacy in clinical settings, offering a safer and more effective alternative to traditional reversal agents. The discovery of sugammadex sodium was driven by the need for a more efficient and predictable method to reverse neuromuscular blockade induced by drugs such as rocuronium and vecuronium. Prior to the introduction of sugammadex, reversal of muscle paralysis was typically achieved using acetylcholinesterase inhibitors, such as neostigmine. However, these agents were not always effective and could have undesirable side effects. Sugammadex sodium was developed as a solution to these issues, providing a more targeted and reliable reversal mechanism. It works by forming a stable complex with the muscle relaxants, rendering them inactive and allowing for their rapid elimination from the body. The compound is based on a modified cyclodextrin structure, a cyclic oligosaccharide with a hydrophilic exterior and a hydrophobic interior cavity. This structure enables the molecule to encapsulate the steroid-based muscle relaxants within its cavity. The encapsulation prevents the neuromuscular blocking agents from binding to acetylcholine receptors, effectively reversing the paralysis. The selectivity of sugammadex for these specific drugs is one of its major advantages, as it minimizes the risk of interactions with other medications that might be present in a patient's system. Sugammadex sodium is primarily used in anesthesia, particularly during surgeries where muscle relaxation is required for intubation or to facilitate surgical procedures. The compound has been shown to be particularly effective for reversing moderate to deep levels of neuromuscular blockade induced by rocuronium, a commonly used muscle relaxant. Its use has revolutionized anesthesia practice by providing a reliable and faster reversal agent, allowing for more precise control of muscle paralysis and quicker recovery times for patients. This is especially important in situations where rapid recovery of muscle function is required, such as in outpatient surgeries or in patients with specific medical conditions. In addition to its clinical applications, sugammadex sodium has also been the subject of extensive research into its pharmacokinetics and safety profile. The compound is administered intravenously, and its effects are typically seen within a few minutes, with complete reversal of paralysis occurring in a relatively short time frame. The safety of sugammadex sodium has been well-documented, with the most common side effects being mild and transient, such as nausea and headache. Serious adverse events are rare, making sugammadex a well-tolerated drug in the context of anesthesia. Sugammadex sodium has expanded the range of options available for anesthesiologists and has been a significant advancement in the field of anesthetic practice. Its ability to provide rapid and effective reversal of neuromuscular blockade has made it a preferred agent in many settings, particularly in high-risk patients or situations where speed is critical. As research continues, further applications of sugammadex may be explored, including potential uses in non-anesthetic settings. References 2007. Early Reversal of Profound Rocuronium-induced Neuromuscular Blockade by Sugammadex in a Randomized Multicenter Study: Efficacy, Safety, and Pharmacokinetics. Anesthesiology, 106(5). DOI: 10.1097/01.anes.0000265152.78943.74 2012. Use of sugammadex in a ‘can’t intubate, can’t ventilate’ situation. British Journal of Anaesthesia, 108(4). DOI: 10.1093/bja/aer494 2017. Efficacy and safety of sugammadex versus neostigmine in reversing neuromuscular blockade in adults. The Cochrane Database of Systematic Reviews, 8. DOI: 10.1002/14651858.cd012763 |
| Market Analysis Reports |