Online Database of Chemicals from Around the World

L-Didecanoylphosphatidylcholine
[CAS 3436-44-0]

List of Suppliers
Alfa Chemistry USA
www.alfa-chemistry.com
+1 (201) 478-8534
+1 (516) 927-0118
inquiry@alfa-chemistry.com
Chemical distributor since 2012
chemBlink Standard supplier since 2012
Advanced Synthesis USA
www.advancedsynthesis.com
+1 (619) 423-7821
+1 (619) 423-7793
sales@advancedsynthesis.com
Chemical manufacturer

Identification
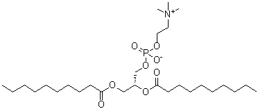
NameL-Didecanoylphosphatidylcholine
SynonymsL-alpha-Didecanoylphosphatidylcholine
Molecular StructureL-Didecanoylphosphatidylcholine molecular structure (CAS 3436-44-0)
Molecular FormulaC28H56NO8P
Molecular Weight565.72
CAS Registry Number3436-44-0
Safety Data
SDSAvailable
Market Analysis Reports
Related Products
5,10-Dideazaami...  5,8-Dideazaisof...  5,8-Dideazaisop...  5,8-Dideazapter...  5,10-Dideaza-5,...  1,3-Didecanoyl-...  (+/-)-1,2-Didec...  Didecanoyl(Hydr...  (2-(1,3-Didecan...  1,2-Didecanoylp...  1,2-Didecanoyl-...  7,9-Di-Decarbox...  Di-(9-Decenyl)P...  1-Didecoxyphosp...  Didecylamine  3-(4-((E)-2-[4-...  4-(4-(Didecylam...  N,N-DI-n-DECYLA...  1,4-Didecylbenz...  1,2-Didecylbenz...