Online Database of Chemicals from Around the World

(3Z,14aR,14bR)-4,6-Bis(acetyloxy)-3-ethylidene-2,3,4,5,6,7,9,11,13,14,14a,14b-dodecahydro-5,6,12-trimethyl-2,7-dioxo-[1,6]Dioxacyclododecino[2,3,4-gh]pyrrolizinium
[CAS 34429-54-4]

Suppliers
CAS#: 34429-54-4
Product: (3Z,14aR,14bR)-4,6-Bis(acetyloxy)-3-ethylidene-2,3,4,5,6,7,9,11,13,14,14a,14b-dodecahydro-5,6,12-trimethyl-2,7-dioxo-[1,6]Dioxacyclododecino[2,3,4-gh]pyrrolizinium
No suppilers available for the product.
Identification
Name (3Z,14aR,14bR)-4,6-Bis(acetyloxy)-3-ethylidene-2,3,4,5,6,7,9,11,13,14,14a,14b-dodecahydro-5,6,12-trimethyl-2,7-dioxo-[1,6]Dioxacyclododecino[2,3,4-gh]pyrrolizinium
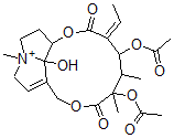
Molecular Structure CAS#: 34429-54-4, (3Z,14aR,14bR)-4,6-Bis(acetyloxy)-3-ethylidene-2,3,4,5,6,7,9,11,13,14,14a,14b-dodecahydro-5,6,12-trimethyl-2,7-dioxo-[1,6]Dioxacyclododecino[2,3,4-gh]pyrrolizinium
Molecular Formula C23H32NO9
Molecular Weight 466.51
CAS Registry Number 34429-54-4
SMILES C[N+]23C1(O)C(OC(=O)C(/C(OC(=O)C)C(C(OC(=O)C)(C(OCC1=CC2)=O)C)C)=C\C)CC3
InChI 1S/C23H32NO9/c1-7-17-19(31-14(3)25)13(2)22(5,33-15(4)26)21(28)30-12-16-8-10-24(6)11-9-18(23(16,24)29)32-20(17)27/h7-8,13,18-19,29H,9-12H2,1-6H3/q+1/b17-7-
InChIKey UJFFAMMZKASLBJ-IDUWFGFVSA-N
Market Analysis Reports
Related Products
(1R*,2S*,4S*(S*...  3b,16b-Bis(Acet...  N,N-Bis[2-(Acet...  4-(Bis(2-(Acety...  N-[5-[Bis[2-(Ac...  N-[5-[Bis[2-(Ac...  N-[5-[Bis[2-(Ac...  N-[5-[Bis[2-(Ac...  4-[Bis[2-(Acety...  2-[[4-[Bis[2-(A...  (6beta)-17,21-B...  4-[(3R,5R)-3,5-...  5,6-Bis[(Acetyl...  3,12-Bis[2-[(ac...  N-[1,1-Bis[(ace...  [4,5-Bis(Acetyl...  N-[1,1-Bis[(ace...  N-[1,1-Bis[(ace...  3-(2,6-Bis(Acet...  N-[1,1-Bis[(ace...