| BOC Sciences | USA | |||
|---|---|---|---|---|
![]() |
+1 (631) 485-4226 | |||
![]() |
info@bocsci.com | |||
![]() |
Skype Chat | |||
| Chemical distributor | ||||
| chemBlink massive supplier since 2012 | ||||
| Name | 6-(2-Mercapto-1-Methyl-L-Tryptophan)-Phalloidin |
|---|---|
| Synonyms | N(Sup Ind)-Methylphalloidin; N-Methylphalloidin |
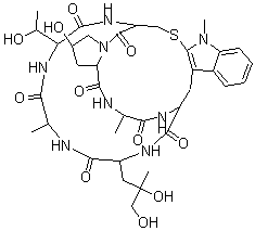
| Molecular Structure | ![]() |
| Molecular Formula | C36H50N8O11S |
| Molecular Weight | 802.90 |
| CAS Registry Number | 35167-13-6 |
| SMILES | C5=C4C3=C(SCC1NC(=O)C(NC(=O)C(NC(=O)C(NC(=O)C(NC(=O)C(NC(=O)C2N(C1=O)CC(O)C2)C)C3)CC(O)(CO)C)C)C(O)C)[N](C4=CC=C5)C |
| InChI | 1S/C36H50N8O11S/c1-16-28(48)39-22-11-21-20-8-6-7-9-25(20)43(5)35(21)56-14-24(34(54)44-13-19(47)10-26(44)32(52)38-16)41-33(53)27(18(3)46)42-29(49)17(2)37-31(51)23(40-30(22)50)12-36(4,55)15-45/h6-9,16-19,22-24,26-27,45-47,55H,10-15H2,1-5H3,(H,37,51)(H,38,52)(H,39,48)(H,40,50)(H,41,53)(H,42,49) |
| InChIKey | XHUXYGHEHCWWIN-UHFFFAOYSA-N |
| Density | 1.596g/cm3 (Cal.) |
|---|---|
| Boiling point | 1356.083°C at 760 mmHg (Cal.) |
| Flash point | 773.931°C (Cal.) |
| Market Analysis Reports |